
전기기사 실기 단답형을 2001~2023년의 23개년 문제를 정리해보려고 합니다.
아래와 같이 임의로 분류하고, 출제된 횟수는 ★ 로 표현하되, 최대 3번까지 적용합니다.
★☆☆
가공 배전 선로 사고의 대부분은 조류 및 수목에 의한 접촉, 강풍, 낙뢰 등에 의한 플래시 오버 사고이다. 이런 사고 발생시 신속하게 고장 구간을 차단하고 사고점의 아크를 소멸시킨 후 즉시 재투입이 가능한 개폐 장치이다.
리클로저
보안상 책인 분계점에서 보수 점검 시 전로를 개폐하기 위하여 시설하는 것으로 반드시 무부하 상태에서 개방하여야 한다. 근래에는 ASS를 사용하며, 66kV 이상의 경우에는 이를 사용한다.
선로 개폐기
★★★
송전선로의 거리가 길어지면서 송전선로의 전압이 대단히 커지고 있다. 따라서 여러 가지 이유에 의하여 단도체 대신 복도체 또는 다도체 방식이 채용되고 있는데 복도체(또는 다도체) 방색을 단도체 방식과 비교할 때 그 장점과 단점을 각각 3가지만 쓰시오
1) 복도체 방식의 장점 3가지
송전용량 증대
콘로나 손실감소
안정도 증대
2) 복도체 방식의 단점 3가지
건설비 증가
꼬임현상 및 소도체 사이에 충돌현상 발생
단락시 대전류 등이 흐를 때 소도체 사이에 흡인력 발생
(그 외) 페란티 현상이 심화되어 수전단의 전압이 상승한다.
★★☆
배전 선로의 전압 조정기
- 자동 전압 조정기
- 병렬 콘덴서
- 고정 승압기
★☆☆
분로 리액터의 설치 목적
페란티 현상 방지
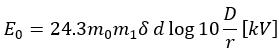
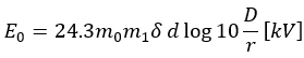
★☆☆ 다음은 가공 송전선로의 코로나 임계전압을 나타낸 식이다. 이 식을 보고 다음 각 물음에 답하시오

1) 기온 t[°C]에서의 기압을 b[mmHg]라고 할 때

로 나타내는데 δ는 무엇을 의미하는지 쓰시오.
상대 공기 밀도
2)

이 날씨에 의한 계수라면,

는 무엇에 의한 계수인지 쓰시오
전선 표면 계수
3) 코로나에 의한 장해의 종류 2가지
코로나 손실
통신선 유도장해
4) 코로나 발생을 방지하기 위한 주요 대책 2가지
복도체(다도체) 방식을 채용
굵은 도체를 사용
★☆☆
정삼각형 배열의 3상 가공 선로에서 전선의 굵기, 선간거리, 표고, 기온에 의한 코로나 파괴 임계전압이 받는 영향을 쓰시오
- 전선의 굵기 : 굵은 전선을 사용할수록 코로나 임계 전압이 상승한다.
- 선간 거리 : 전선 간의 선간 거리가 크면 클수록 임계 전압이 상승한다.
- 표고 : 전선로는 표고가 높은 곳에 설치될수록 기압이 낮아지므로 코로나 임계 전압이 낮아진다.
- 기온 : 전선로 주변의 기온이 높아질수록 코로나 임계 전압은 낮아진다.
★☆☆
전선로 부근이나 애자부근(애자와 전선의 접속 부근)에 임계전압 이상이 가해지면 전선로나 애자 부근에 발생하는 코로나 현상에 대하여 다음 각 물음에 답하시오
1) 코로나 현상이란?
임계전압 이상의 전압이 전선로 부근이나 애자 부근에 가해지면 공기 절연이 부분적으로 파괴되는 현상
2) 코로나 현상이 미치는 영향에 대하여 4가지만 쓰시오
코로나 손실
전선의 부식 촉진
코로나 잡음
통신선 유도장해
3) 코로나 방지 대책 중 2가지 쓰시오
복도체(다도체) 방식을 채용
굵은 도체를 사용한다.
★☆☆
코로나에 의한 장해의 종류
- 코로나 전력 손실 발생
- 오존에 의한 전선의 부식
★☆☆
코로나 발생을 방지하기 위한 주요 대책
- 굵은 전선 및 복도체(다도체) 사용
- 가선 금구 개량
★★★
스폿 네트워크(Spot Network) 수전방식에 대하여 설명하시오
1) 스폿 네트워크 방식이란?
배전용 변전소로부터 2회선 이상의 배전선으로 수전하는 방식으로 배전선 1회선에 사고가 발생한 경우에도 다른 건전한 회선으로부터 자동적으로 수전할 수 있는 신뢰도가 매우 높은 수전 방식
2) 스폿 네트워크 방식의 특징 4가지
공급 신뢰도가 매우 높은 수전 방식이다.
무정전 전력 공급이 가능하다.
전압 강하 및 전압 변동률이 작다.
부하 증가에 대해서 적응성이 뛰어나다.
★☆☆
가공 송전 선로에서 이상 전압 발생을 방지하기 위한 대책
- 가공지선을 설치하여 직격뢰 및 유도뢰를 차폐한다.
- 중성점 직접접지 방식을 채택한다.
- 매설지선을 설치하여 역섬락을 방지한다.
★☆☆
ACSR 전선에 댐퍼를 설치하는 이휴
전선의 진동 방지
★★★
전력계통의 발전기, 변압기 등의 증설이나 송전선의 송전선의 신·증설로 인하여 단락 및 지락전류가 증가하여 송변전 기기에의 손상이 증대되고, 부근에 있는 통신선의 유도장해가 증가하는 등의 문제점이 예상되므로 단락용량의 경감대책을 세워야 한다. 이 대책은?
- 한류 리액터 채용
- 계통 전압의 승압 실시
- 고장전류 제한기 설치
- (그 외) 고임피던스 기기를 채택
- (그 외) 모선 계통을 분리 운용
- (그 외) 직류 연계
★☆☆
가공전선로의 이도가 너무 크거나 너무 작을 시 전선로에 미치는 영향 4가지
- 이도가 너무 크면 지지물의 높이가 높아져 건설비가 증가한다.
- 이도가 너무 크면 전선의 진동이 증가하여 다른 상의 전선이나 수목에 접촉할 우려가 있다.
- 이도가 너무 크면 도로, 철도 등의 횡단 장소에 접촉될 우려가 있다.
- 이도가 너무 작으면 전선의 장력이 증가해 전선 단선의 우려가 있다.
★☆☆
전력계통에 이용되는 리액터의 명칭
- 단락전류 제한 한류 리액터
- 페란티 현상 방지 분로 리액터
- 변압기 중성점 아크 소호 소호 리액터
★☆☆
발·변전소에는 전력의 집합, 융통, 분배 등을 위하여 모선을 설치한다. 무한대 모선(Infinite Bus)이란 무엇인지 설명하시오
무한대 모선이란 내부 임피던스가 0이고 전압은 그 크기와 위상이 부하의 증감에 관계없이 전혀 변화하지 않고, 또 극히 큰 관성정수를 가지고 있다고 생각되는 용량 무한대의 전
'전기 > 전기기사 실기' 카테고리의 다른 글
| [전기기사 실기 계산 01] 보정률, 오차율, 참값, 측정값 계산하기 (0) | 2024.07.04 |
|---|---|
| [전기기사 실기] 단답형 총정리_조명설비 (2) | 2024.06.10 |
| [전기기사 실기] 단답형 총정리_감리 (0) | 2024.06.05 |
| [전기기사 실기] 단답형 총정리_자동제어(시퀀스 및 PLC) (1) | 2024.06.05 |
| [전기기사 실기] 단답형 총정리_시험/측정/안전/품질 (1) | 2024.06.04 |