
전기기사 실기 단답형을 2001~2023년의 23개년 문제를 정리해보려고 합니다.
아래와 같이 임의로 분류하고, 출제된 횟수는 ★ 로 표현하되, 최대 3번까지 적용합니다.
★★☆
발전기실의 위치를 선정할 때 고려하여야 할 사항 4가지
① 기기의 반입, 반출 및 운전보수에서 편리할 것
② 배기 배출구에 가급적 가까이 위치할 것
③ 실내 환기를 충분히 할 수 있을 것
④ 급·배수가 용이할 것
⑤ (그 외) 연료유의 보급이 용이할 것
★☆☆
다음 물음에 답하시오
1) 발전기실 건물의 높이를 결정하는데 반드시 고려하여야 할 사항 2가지
① 발전기의 설치 및 유지보수가 용이할 것
② 발전기 부속설비(소음기, 환기설비)의 높이 및 설치 위치
2) 발전기 병렬 운전 조건
① 기전력의 크기가 같을 것
② 기전력의 위상이 같을 것
③ 기전력의 주파수가 같을 것
④ 기전력의 파형이 같을 것
⑤ 기전력의 상회전 방향이 같을 것
★★★
발전기의 병렬 운전 조건 4가지
- 기전력의 크기가 같을 것
- 기전력의 위상이 같을 것
- 기전력의 주파수가 같을 것
- 기전력의 파형이 같을 것
- (그 외) 기전력의 상회전 방향이 같을 것
★★☆
발전기에 대한 다음 각 물음에 답하시오
1) 단락비가 큰 교류 발전기는 일반적으로 기계의 치수가 크고, 가격이 높고, 풍손, 마찰손, 철손이 크고, 효율은 낮고, 전압변동률은 적고, 안정도는 높다.
2) 비상용 동기발전기의 병렬운전 조건 4가지
① 기전력의 크기가 같을 것
② 기전력의 위상이 같을 것
③ 기전력의 주파수가 같을 것
④ 기전력의 파형이 같을 것
⑤ (그 외) 기전력의 상회전 방향이 같을 것
3) 단락비는 수차 발전기와 터빈 발전기중 일반적으로 어느 쪽이 더 큰가?
수차 발전기
★★☆
동기 발전기를 병렬로 접속하여 운전할 때 발생하는 횡류의 종류 3가지를 쓰고, 각각의 작용에 대한 설명
| 무효순환 전류 (무효 횡류) | 양 발전기의 역률을 변화시킨다. |
| 동기화 전류 (유효 횡류) | 양 발전기의 유효 전력의 분담을 변화시킨다. |
| 고조파 무효순환 전류 (고조파 무효 횡류) | 전기자 권선의 저항손을 증가시킨다. |
★★☆
교류 발전기 물음 ( )안에 답하시오
단락비가 큰 발전기는 전기자 권선의 권수가 적고 자속량이 증가하기 때문에, 부피가 크고, 중량이 무거우며, 동이 비교적 적고 철을 많이 사용하여 이른바 철기계가 되면 효율은 낮고, 안정도는 높고 선로 충전용량은 증대가 된다.
★☆☆
발전기(비상전원)에서 발생된 전압을 공급하기 위하여 부하에 이르는 전로에는 발전기에 가까운 곳에 개폐 및 점검을 할 수 있는 곳에 기기 및 기구들을 설치하여야 한다. 설치해야 할 것들 4가지
- 개폐기
- 과전류 차단기
- 전압계
- 전류계
★☆☆ 예비전원으로 시설하는 고압 발전기에서 부하에 이르는 전로에는 발전기의 가까운 곳에 반드시 시설되어야 할 4가지가 있다. 이것들을 쓰고 이것들의 시설기준(방법 또는 유의점)을 설명
1) 시설되어야 하는 것
개폐기
과전류 차단기
전압계
전류계
2) 시설방법
각 극에 개폐기 및 과전류 차단기를 설치할 것
전압계는 각 상의 전압을 읽을 수 있도록 시설할 것
전류계는 각 선(중선선은 제외한다)의 전류를 읽을 수 있도록 시설할 것
★☆☆
플리커 발생 부하가 증설될 경우 수용가 측에서 행하는 방법 중 전원 계통에 리액터분을 보상하는 방법 2가지
- 직렬 콘덴서 방식
- 3권선 보상 변압기 방식
★★★ 전기제품에서의 깜빡거림 현상을 플리커 현상이라고 한다. 플리커 현상을 경감시키기 위한 전원측과 수용가측에서의 대책 3가지
1) 전원측
전용계통으로 공급
공급전압을 승압
단락용량이 큰 계통에서 공급
(그 외) 전용 변압기로 공급
2) 수용가측
직렬콘덴서 설치
전압강하를 보상 (부스터 설치)
플리커 부하 전류의 변동분 억제 (직렬리액터 설치)
(그 외) 3권선 보상 변압기 설치
(그 외) 상호 보상 리액터 설치)
(그 외) 직렬 리액터 가포화 방식
★☆☆
L1상, L2상, L3상, N상의 알맞은 색
- L1 : 갈색
- L2 : 흑색
- L3 : 회색
- N : 청색
★☆☆
상용전원과 예비전원 운전시 유의하여야 할 사항
상용전원과 예비전원 사이에는 병렬운전을 하지 않는 것이 원칙이므로 수전용 차단기와 발전용차단기 사이에는 전기적 또는 기계적 인터록을 시설해야 하며 전환 개폐기를 사용해야 한다.
★★☆
상용전원과 예비전원 운전시 유의하여야 할 사항
상용전원과 예비전원 사이에는 병렬운전을 하지 않는 것이 원칙이므로 수전용 차단기와 발전용차단기 사이에는 전기적 또는 기계적 인터록을 시설해야 하며 전환 개폐기를 사용해야 한다.
★☆☆
다음 각 물음에 답하시오
1) UPS 장치는 어떤 장치인가? 무정전 전원 공급장치
2) CVCF는 무엇을 뜻하는가? 정전압 정주파수 장치
★☆☆
CVCF는 무엇을 뜻하는가?
정전압 정주파수 장치
★★☆
충전 방식
1) 정류기가 충전지의 충전에만 사용되지 않고 평상시 다른 직류 부하의 전원으로 병행하여 사용되는 충전 방식
부동 충전 방식
2) 축전지의 각 전해조에 일어나는 전위차를 보정하기 위해 1~3개월마다 1회 정전압으로 10~12시간 충전하는 충전 방식
균등 충전 방식
★☆☆
부동충전방식의 역할
축전지의 자기 방전을 보충함과 동시에 사용 부하에 대한 전력공급은 충전기가 부담하도록 하되 충전기가 부담하기 어려운 일시적인 대전류 부하는 축전지가 부담하도록 하는 방식
★☆☆
예비전원설비를 축전지설비로 하고자 할 때, 다음 각 물음에 답하시오
1) 충전지의 충전방식으로 가장 많이 사용되는 부동충전방식에 대하여 설명하고, 부동충전방식의 설비에 대한 개략적인 회로도를 그리시오
- 원리 : 축전지의 자기 방전을 보충함과 동시에 사용 부하에 대한 전력공급은 충전기가 부담하도록 하되 충전기가 부담하기 어려운 일시적인 대전류 부하는 충전지로 하여금 부담하게 하는 방식
- 회로도

2) 연축전지와 알칼리 축전지를 비교할 때, 알칼리 축전지의 장점 2가지와 단점 1가지
| 장점 | 충방전 특성이 양호하다. 방전시 전압 변동이 작다. |
| 단점 | 연축전지에 비하여 단자 전압이 낮다. |
★☆☆
예비전원으로 사용되는 축전지 설비에 대한 다음 각 물음에 답하시오
1) 연축전지 설비의 초기에 단전지 전압의 비중이 저하되고, 전압계가 역전하였다. 어떤 원인으로 추정할 수 있는가?
축전지의 역접속
2) 충전장치고장, 과충전, 액면 저하로 인한 극판 노출, 교류분 전류의 유입과대 등의 원인에 의하여 발생될 수 있는 현상은?
축전지의 현저한 온도상승 또는 소손
3) 축전지와 부하를 충전기에 병렬로 접속하여 사용하는 충전방식은 어떤 충전방식인가?
부동충전방식
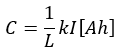
4) 충전지 용량

공식에서 문자 L, K, I는 무엇을 의미하는지 쓰시오
L : 보수율
K : 용량환산 시간계수
I : 방전전류
★☆☆
다음과 같은 충전방식에 대해 간단히 설명하시오
1) 보통충전
필요할 때마다 표준 시간율로 소정의 충전을 하는 방식
2) 세류충전
자기 방전량만을 항시 충전하는 방식
3) 균등충전
각 전해조에서 일어나는 전위차를 보정하기 위하여 1~3개월마다 1회, 정전압 충전하여 각 전해조의 용량을 균일화하기 위하여 행하는 충전방식
4) 부동충전
축전지의 자기방전을 보충함과 동시에 상용부하에 대한 전력공급은 충전기가 부담하도록 하되 충전기가 부담하기 어려운 일시적인 대전류의 부하는 축전지가 부담하도록 하는 방식
5) 급속충전
짧은 시간에 보통 충전전류의 2~3배의 전류로 충전하는 방식
★★☆
예비전원으로 이용되는 축전지에 대한 다음 각 물음에 답하시오
1) 축전지의 과방전 및 방치상태, 가벼운 설페이션(Sulfation) 현상 등이 생겼을 때 기능회복을 위하여 실시하는 충전방식은?
회복충전
2) 연축전지와 알칼리 축전지의 공칭전압은 각각 몇 [V]인가?
연축전지 : 2.0[V/cell]
알칼리 축전지 : 1.2[V/cell]
3) 축전지 설비를 하려고 한다. 그 구성요소를 크게 4가지로 구분하시오
축전지
충전장치
보안장치
제어장치
★☆☆
주어진 표의 빈칸에 연축전지와 알칼리 축전지의 특성 비교 설명
구분연축 전지알칼리 축전지비고
| 공칭전압 | 2.0[V/cell] | 1.2[V/cell] | 수치로 기록할 것 |
| 과 충·방전에 대한 전기적 강도 | 약 | 강 | 강, 약으로 표기 |
| 수명 | 짧다 | 길다 | 길다, 짧다로 표현 |
★☆☆
연축전지의 부동충전시에 발생되는 가스, 그리고 충전이 부족할 경우 극판에 발생되는 현상 등에 대하여 설명
1) 충전시 발생되는 가스 : 수소가스
2) 현상 : 설페이션 현상
★☆☆
다음 물음에 답하시오
1) 묽은 황산의 농도는 표준이고 액면이 저하하여 극판이 노출되어 있다. 어떤 조치를 하여야 하는가?
증류수를 보충한다.
2) 축전지의 과방전 및 방치 상태, 가벼운 설페이션 현상 등이 생겼을 때 기능 회복을 위해 실시하는 충전 방식은?
회복충전
3) 알칼리 축전지의 공칭 전압은?
1.2V
★☆☆
연축전지 사용 중 고장현상이 다음과 같을 때 이의 추정 원인
1) 전체 셀의 전압 불균일이 크고 비중이 낮다.
충전 부족으로 장시간 방치한 경우
2) 전체 셀의 비중이 높다.
증류수가 부족한 경우 (액면 저하로 극판 노출)
3) 전해액 변색, 충전하지 않고 그냥 두어도 다량으로 가스가 발생한다.
전해액 불순물의 혼입
★☆☆ 사용중인 UPS의 2차 측에 단락 사고 등이 발생했을 경우 UPS와 고장 회로를 분리하는 방식
- 배선차단기에 의한 방식
- 반도체용 한류형 퓨즈에 의한 방식
- 반도체 차단기에 의한 방식
★☆☆
컴퓨터 등의 중요한 부하에 대한 무정전 전원 공급을 위한 그림이다. 전기 시설물의 명칭을 쓰시오.

★★☆
현재 비상 전원으로 쓰이는 UPS의 원리에 대하여 개략의 블록 다이어그램을 그려서 설명하시오

UPS 설비는 직류 전원장치와 사이리스터(컨버터, 인버터)를 조합한 것으로서 평상시에는 교류 전원을 정류기(컨버터)로서 직류로 변환하고 축전지에 충전한다.
이때 상용전원은 AVR과 무접점 절체 스위치를 통하여 부하에 전원을 공급한다. 상용전원 정전시에는 축전지의 직류를 인버터에 의하여 안정된 교류로 역변환하여 부하에 전력을 공급한다.
비상발전기(비상전원)는 축전지의 용량이 부족한 경우 운전한다.
★★★
인텔리전트 빌딩의 전산시스템을 유지하기 위하여 비상전원으로 사용되고 있는 UPS에 대하여 다음 각 물음에 답하시오
1) UPS를 우리말로 하면 어떤 것을 뜻하는가?
무정전 전원 공급 장치
2) UPS에서 AC -> DC부와 DC -> AC부로 변환하는 명칭을 각각 무엇이라 부르는가?
AC -> DC부 : 컨버터
DC -> AC부 : 인버터
3) UPS가 동작되면 전력 공급을 위한 축전지가 필요한데 그 때의 축전지 용량을 구하는 공식을 쓰시오. 단, 사용 기호에 대한 의미도 설명하도록 쓰시오

★☆☆
컴퓨터나 마이크로프로세서에 사용하기 위하여 전원장치로 UPS를 구성할 때 다음 각 물음에 답하시오.
1) Bypass Transformer를 설치하여 회로를 구성하는 이유를 설명하시오
회로의 절연
2) 전원장치인 UPS, CVCF, VVVF 장치에 대한 비교표를 다음과 같이 구성할 때 빈칸을 채우시오. 단 출력전원에 대하여서는 가능은 O, 불가능은 X로 표시하시오
| 장치 | UPS | CVCF | VVVF | |
| 구분 | ||||
| 우리말 명칭 | 무정전 전원공급장치 | 정전압 정주파수 장치 | 가변전압 가변주파수 장치 | |
| 주회로 방식 | 전압형 인버터 | 전압형 인버터 | 전류형 인버터 | |
| 스위칭 방식 | 컨버터 | PWM 또는 위상제어 | PWM 제어 | PWM 또는 위상제어 |
| 인버터 | PWM 제어 | PWM 제어 | PWM 제어 | |
| 주회로 디바이스 | 컨버터 | IGBT | IGBT | IGBT |
| 인버터 | IGBT | IGBT | IGBT | |
| 출력전압 | 무정전 | O | X | X |
| 정전압 정주파수 | O | O | X | |
| 가변전압 가변주파수 | X | X | O | |
★☆☆
정지형 무효전력 보상장치(SVC)에 대하여 간단히 설명하시오
사이리스터를 이용하여 진상 콘덴서 및 분로 리액터를 신속하게 투입함으로써 계통의 무효 전력을 제어하는 무효전력 보상 장치
'전기 > 전기기사 실기' 카테고리의 다른 글
| [전기기사 실기] 단답형 총정리_부하설비 (1) | 2024.06.03 |
|---|---|
| [전기기사 실기] 단답형 총정리_간선 및 배선 (0) | 2024.06.03 |
| [전기기사 실기] 단답형 총정리_보호계전설비 (0) | 2024.06.01 |
| [전기기사 실기] 단답형 총정리_수변전설비 (0) | 2024.05.31 |
| [전기기사 실기] 단답형 총정리_전기설비설계 & 도면 (1) | 2024.05.31 |