1. 전압강하 관리
전압강하는 선로 임피던스로 인한 전압 손실로, 조명 깜박임·모터 토크 저하·계전 오동작을 유발합니다. 국내설계는 KEC 허용기준을 충족시키면서, IEC Annex G 공식으로 합리적인 케이블 단면적을 산정·검증하는 흐름이 표준적입ㄱ니다.
2. KEC 전압강하 허용기준
- 저압 수전 : 조명 3%, 기타 5%
- 고압 이상 수전 : 조명 6%, 기타 8%
- 100m 초과길이 : 0.005%/m 가산 (단, 최대 0.5% 이내)
- 일시적 예외 : 모터 기동 등 돌입전류 큰 기기는 표 값 초과 허용 가능(일시 조건)


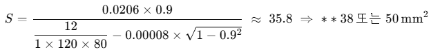
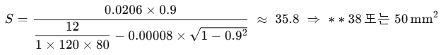
2.1 케이블 굵기 계산 예시
- 전압강하율 목표 : 3 [%]
- 전압강하 : 12 [V]
- 부하 전류 : 120 [A]
- 역률 : 0.9
- 길이 : 80m
- 도체 : Cu / 운전 70℃ 가정 → 0.017241 x (1 + 0.00393 x (70-20)) ≒ 0.0206 [Ω·mm2/m]
- X : 0.08 [Ω/km] = 0.00008 [Ω/m]
- b : 3상 = 1
전압강하식을 이용하여 굵기 계산하기 위해 이항을 해보자.


∴ 표준호칭 35/50 중 전압강하·허용전류 동시 만족 체크하여 최종 확정
3. IEC 60364-5-52 Annex G 공식


4. 옥내배선 '간략 계산식' (KEC 핸드북)
옥내배선 등 비교적 전선의 길이가 짧고, 전선이 가는 경우에는 표피효과나 근접효과 등에 의한 도체저항 값의 증가분이나 리액턴스분을 무시해도 지장이 없는 때는 아래 계산식으로 전압강하를 계산할 수 있다.

'전기 > 시설관리' 카테고리의 다른 글
| 케이블 굵기 선정 방법 정리 ㅣ KEC·IEC 기준, 전압강하·과전류·기동·단락 (0) | 2025.09.30 |
|---|---|
| KOSHA 비상발전기 용량 산정 방식 변경 (GP법) (0) | 2025.09.17 |
| 전기안전관리자 신규 등록 및 경력수첩 발급 (0) | 2025.09.09 |
| 비상발전기 용량 계산 기준 (0) | 2024.08.26 |
| 비상발전기 용량 계산 (1) | 2024.08.25 |