
변압기의 탭을 조정해야 할 상황이 생길 수 있다.
변압기의 탭을 조정하면 전압을 강압 또는 승압을 할 수 있다. 이에 대해서 자세히 알아보도록 하자.
목차
1. 몰드 변압기 탭 조정 방법
몰드 변압기의 탭은 1부터 6까지 설정할 수 있습니다.
2~7 또는 3~8과 같은 다른 범위도 존재하므로,
정확한 정보를 위해 명판이나 성적서를 반드시 확인해야 합니다.
예를 들어, 아래 그림에는 2~7까지의 탭이 표시되어 있습니다.
탭 조정은 2-7, 2-6, 3-6, 3-5, 4-5 등으로 가능하며,
탭의 위치에 따라 전압을 승압하거나 강압할 수 있습니다.


2. 변압기 명판
변압기 명판의 왼쪽 하단을 보면 탭 조정에 따른 전압 변화를 확인할 수 있습니다.
2차 전압을 승압(전압 높게) 하기 위하여
1차 전압을 변경하고자 합니다.
변경은 3-5에서 3-6으로 하고자 합니다.

2.1 다른 변압기 명판 참조


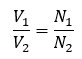
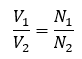
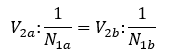
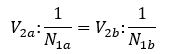
3. 변압기 2차 측 전압 계산 방법
변압기 권수비 공식을 활용할 겁니다.

2차 측 전압 계산하기 위해, 필요한 공식만 본다면

이항을 하여, 2차측 전압 구하는 식을 만들어 볼 수 있습니다.

여기서, 고정값을 제외하려고 해요
고정값은 1차 측 한전 전압과, 2차 측 권선수입니다.


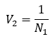
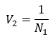
V2a : 변경 전 2차 측 전압
V2b : 변경 후 2차 측 전압
안쪽의 곱과, 바깥쪽의 곱을 하면

변경 후 2차측 전압을 구하는 식을 만들어 보면

여기에, 해당하는 값을 넣어서 계산을 하면,
변경 전 2차측 전압 : 370 [V]

변경 후의 2차 전압은 387 [V]로 확인됩니다.
따라서, 탭을 조정하면 2차 측 전압 17 [V] 승압할 수 있을 것으로 예상할 수 있습니다.
변경 전의 2차 전압과 탭 조정에 따른 전압 변화를 고려하여 승압 정도가 달라질 수 있음을 유념해 주시기 바랍니다.
'전기 > 시설관리' 카테고리의 다른 글
| 전기 직무고시_분기점검 (1) | 2024.06.09 |
|---|---|
| 전기 직무고시_반기점검 (0) | 2024.06.09 |
| 전기 직무고시_연차점검 (1) | 2024.06.09 |
| 전기 직무고시 (0) | 2024.06.09 |
| 수배전설비 정전 및 복전 작업 절차 (1) | 2024.06.04 |