
전압 승압시 공급전력, 전압강하, 전압강하율, 전압강하율, 전압변동률, 전력손실, 전선굵기, 전류의 효과를 알아보자.
목차
1. 전압승압시 장점
1.1 공급능력
공급능력은 무부하상태의 시설용량을 말하는 것으로

※ 전압이 n배 증가하면, 공급능력은 n배 증가한다.
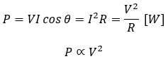
1.1 공급전력
공급전력은 부하가 있는 상태에서의 전력이므로

※ 전압이 n배 증가하면, 공급전력은 n^2배 증가한다.
1.2 전압강하


※ 전압이 증가하면 분모가 증가하므로, 전압강하는 1/n배 감소하게 된다.
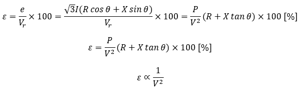
1.3 전압강하율

※ 전압이 증가하면 분모가 증가하므로, 전압강하율는 1/n^2배 감소하게 된다.
1.4 전압변동률

※ V2n 승압시 분모는 증가, 분자는 감소하므로 전압변동률은 감소하게 된다.
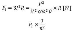
1.5 전력손실

※ 전압이 증가하면 분모가 증가하므로, 전력손실은 1/n^2배 감소하게 된다.
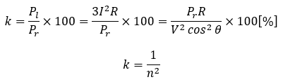
1.6 전력손실률

※ 전압이 증가하면 분모가 증가하므로, 전력손실률은 1/n^2배 감소하게 된다.
1.7 전선굵기

※ 전압이 증가하면 분모가 증가하므로, 전선굵기는 1/n^2배 감소하게 된다.
1.8 그 외
1.8.1 전류 (히터)
히터는 저항에 발열을 주어 열공급을 하므로, 저항은 고정값으로

※ 전압과 전류는 비례하므로, 전압이 증가하면 전류도 증가하게 된다.
1.8.2 전류 (동력장치)

※ 전압이 증가하면 분모가 증가하므로, 전류는 1/n배 감소하게 된다.
2. 전압승압시 단점
지지물의 높이 증가 등 시설비가 많이 든다.
애자의 수가 증가 등 시설 보강이 필요하다.
절연내력의 증가로 인한 시설비가 증가한다.
고전압으로 위험성이 증가한다.
'전기 > 시설관리' 카테고리의 다른 글
| UPS Battery 용량 계산 (무보수 밀폐형) (0) | 2024.06.29 |
|---|---|
| UPS 산업용 Battery 종류 6가지 (0) | 2024.06.29 |
| 변압기 병렬운전 조건 및 조건이 맞지 않을 경우 (0) | 2024.06.18 |
| ATS와 CTTS 비교 (1) | 2024.06.11 |
| 전기 직무고시_분기점검 (1) | 2024.06.09 |