
변압기 병렬운전 조건과 조건이 맞지 않을 경우의 현상에 대해 알아보자
목차
1. 변압기 병렬운전 정의
전원 용량을 증가시키기 위해 2대 이상의 변압기를 병렬로 결선하여 운전하는 방식
2. 변압기 병렬운전 조건
① 1,2차 정격전압 및 극성이 같을 것
② 각 변압기의 %임피던스가 같을 것
③ 권수비가 같을 것
④ 각 변압기의 내부저항과 누설리액턴스의 비가 같을 것
⑤ 각 변압기의 정격용량의 비가 1:3 이내일 것 (제조사 권고)
⑥ 3상의 경우 상회전, 위상 변위가 같을 것
3. 변압기 병렬운전 적합하지 않은 경우
① 부하의 합계가 변압기 정격용량보다 큰 경우
② 변압기 병렬운전 중 어느 변압기 무부하 순환전류가 10% 초과하는 경우
③ 순환전류의 부하전류 값이 정격부하 110% 넘는 경우
4. 변압기 병렬운전 가능 및 불가능 결선
| 병렬운전 가능 결선 | 병렬운전 불가능 결선 |
|
|
| ※ 위상차가 없거나, 동일한 변위 30도 위상차 | ※ 위상 30도 차이 발생 |
※ 홀수면 병렬운전 불가능이라고 보면 된다.
5. 변압기 병렬운전 조건 붕괴시 나타나는 현상
5.1) 1,2차 전압이 다른 경우
1차측 전압과 2차측 전압을 병렬로 운전하여 전원 공급되는데, 합성 기전력 Ec는 다음과 같이 표현할 수 있다.

1차측 전압과 2차측 전압이 다른 경우 전압차로 인한 순환 전류가 발생되는데 다음과 같은 식으로 표현될 수 있다.

따라서, 전압차가 크면 클수록 순환전류도 커지는 Ec ∝ Ic 비례관계 성립이 되며,
변압기 간 순환전류가 흘러 권선이 가열되는 현상이 발생하게 된다.
※ 3. 변압기 병렬운전 적합하지 않은 경우의 ②, ③과 같은 것으로 볼 수 있다.
5.2) 상회전, 위상 변위가 다른 경우
상회전 방향이 맞지 않으면, 위상차가 발생하여 단락되어 변압기 쇼트가 된다.
5.3) %임피던스가 다른 경우
% 임피던스 강하(임피던스 전압)가 다른 경우 부하의 분담이 용량의 비가 되지 않아 부하의 분담이 불균형 발생이 된다.
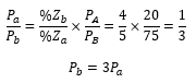
예시1> 과부하 발생
| 구분 | 변압기-1 | 변압기-2 |
| 정격용량 [kVA] | 20 | 75 |
| %임피던스 | 4 | 5 |
부하분담은 %임피던스에 반비례하고 용량에 비례하므로,
부하분담비 :

각 변압기의 부하분담은 다음과 같다.

따라서, A변압기 정격용량 20kVA보다 큰 25kVA 이므로, 과부하가 발생하게 된다.
예시2> 부하량 감소하여 병렬운전 가능
변압기 병렬운전 조건중에서 임피던스가 다른 경우에는 완전히 병렬운전이 불가능한 것은 아니고 적절하게 부하량을 감소시키면 병렬운전이 가능하다.
| 구분 | 변압기-1 | 변압기-2 | 변압기-3 |
| 정격용량 [kVA] | 400 | 1000 | 500 |
| %임피던스 | 4 | 6 | 5 |
변압기 총 설비용량 : 1900kVA인 경우 변압기 3대를 병렬운전 가정한다면
병렬운전시 전체 임피던스는 다음과 같다.

각 변압기의 부하분담은 다음과 같다.

위와 같이 TR1은 29%, TR3은 3.6%의 과부하가 된다.
이 경우 각 변압기가 과부하로 운전되는 것을 방지하려면 가장 낮은 임피더스 기준으로 운전을 하면 된다. (또는 가장 낮은 변압기 정격용량 기준)
각 변압기의 부하분담은 아래와 같이 계산이 되며, 부하는 1467[kVA] 이하로 병렬운전이 가능하다.

※ 변압기 부하분담 계산은 전기기사 실기 계산 문제로 출제되기도 한다.
5.4) 극성이 다른 경우
극성이란 감극성과 가극성을 말하는 것으로, 서로 다른 극성을 가진다면 변압기 간 전압차가 크게 발생하여 큰 순환전류가 흘러 권선이 소손된다.
| ① 감극성 E = V1 - V2 (서로 상쇄 (순환전류 없음)) ② 가극성 E = V1 + V2 (유기 전압 합이 되어 큰 순환전류 발생) |
※ 변압기 병렬운전 조건과 조건이 맞지 않은 경우의 현상은 전기기사 실기 단답형으로 출제되기도 한다.
5.5) 내부저항과 누설리액턴스의 비가 같지 않을 때
현상 : 각 변압기의 전류 간에 위상차가 생겨 동손이 증가
6. 변압기 병렬운전시 문제점
① 계통에 %임피던스가 적어져 단락용량이 증대된다.
② 전 부하 운전시 변압기 허용과 부하율에 의한 변압기 용량 증대로 손실증가
③ 차단기의 빈번한 동작에 의한 차단기 수명 단축(대수제어 등)
7. 변압기 병렬운전시 고려사항
① 고려사항 : 단락용량, 단락전류 증가, CT 강도, 캐스케이딩 차단
② 대책 : 변압기 병렬운전 조건 만족, 변압기 최소 %Z 고려한 차단기 선정, 구분 Fuse 설치
구분 Fuse : 변압기 캐스케이딩 현상일 때 나온다.
8. 참조 사이트
'전기 > 시설관리' 카테고리의 다른 글
| UPS 산업용 Battery 종류 6가지 (0) | 2024.06.29 |
|---|---|
| 전압 승압시 전압강하, 전압변동률, 전력손실, 전선굵기, 전류 효과 및 단점 4가지 (0) | 2024.06.23 |
| ATS와 CTTS 비교 (1) | 2024.06.11 |
| 전기 직무고시_분기점검 (1) | 2024.06.09 |
| 전기 직무고시_반기점검 (0) | 2024.06.09 |