
전기기사 실기에서 출제되는 계산 문제 중 조명 관련된 문제를 정리해보려고 합니다.
문제는 2008~2022년의 15개년 문제이며, 출제된 횟수를 특수문자 ★ 로 표현하되, 최대 3번까지 적용합니다.
목차
1. 조명설비 기본 수식
1.1 광속 발산도

광속 계산 시 아래와 같이 구, 원통, 평판에 따라 수식이 달라질 수 있다.

구의 면적

1.2 실지수

1.3 FUN=EAD

1.4 조도


2. 조명설비 계산
2.1 광속 발산도 계산
★☆☆
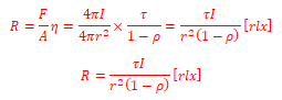
문제 1) 반사율 ρ, 투과율 τ, 반지름 r인 완전 화간성 구형 글로브 중심의 광도 I의 점 광원을 켰을 때 광속 발산도 R은?

★☆☆
문제 2) 지름 30 [cm]인 완전 확산형 반구형 전구를 사용하여 평균 휘도가 0.3 [cd/cm2]인 천장등을 가설하려고 한다. 기구 효율을 0.75라 하면, 이 전구의 광속은 몇 [lm] 정도이어야 하는지 계산하시오. (단, 광속 발산도는 0.95 [lm/cm2]라 한다.)

| 다른 방식으로 계산 : |
구의 면적 참조 :![]() |
★☆☆
문제 3) 지름 20 [cm]의 구형 외구의 광속 발산도가 2000 [rlx]라고 한다. 이 외구의 중심에 있는 균등 점광원의 광도는 얼마인가? (단, 외구의 투과율은 90 [%]라 한다.)

참조 :![]() ![]() |
2.2 실지수 계산
★☆☆
문제 1) 방의 가로 길이가 10 [m], 세로 길이가 8 [m], 방바닥에서 천장까지의 높이가 4.85 [m]인 방에서 조명기구를 천장에 직접 취부 하고자 한다. 이 방의 실지수를 구하시오. (단, 작업면은 방바닥에서 0.85 [m]이다.)

2.3 FUN=EAD 계산
★☆☆
문제 1) 1000 [lm]을 복사하는 전등 10개를 100 [m2]의 사무실에 설치하고 있다. 그 조명률을 0.5라고 하고, 감광 보상률을 1.5라 하면 그 사무실의 평균 조도는 몇 [lx]인가?

★☆☆
문제 2) 길이 30 [m], 폭 50 [m]인 방에 평균 조도 200 [lx]를 얻기 위해 전광 속 2500 [lm]의 40 [W] 형광등을 사용했을 때 필요한 등수를 계산하시오. (단, 조명률 0.6, 감광 보상률 1.2이고 기타 요인은 무시한다.)

★☆☆
문제 3) 면적 216 [m2]인 사무실의 조도를 200 [lx]로 할 경우에 램프 2개의 전광 속 4600 [lm], 램프 2개의 전류가 1 [A]인, 40 [W] x 2 형광등을 시설할 경우에 조명률 51 [%], 감광 보상률 1.3으로 가정하고, 전기방식은 220 [V] 단상 2 선식으로 할 때 이 사무실의 16 [A] 분기 회로수는? (단,콘센트는 고려하지 않는다.)

답 : 16[A] 분기 2회로
| 참고 : 분기 회로수 결정 시 등기구의 전류가 주어지면 다음과 같이 계산하여 구한다. ![]() 분기 회로수 계산 결과값에 소수점이 발생하면 소수점 이하 절상한다. |
★★★
문제 4) 가로 10 [m], 세로 14 [m], 천장 높이 2.75 [m], 작업면 높이 0.75 [m]인 사무실에 천장 직부 형광등 F32 X 2를 설치하려고 한다.
(1) 이 사무실의 실지수는 얼마인가?

(2) F32 x 2의 심벌을 그리시오.

(3) 이 사무실의 작업면 조도를 250 [lx], 천장 반사율 70 [%], 벽 반사율 50[%], 바닥 반사율 10 [%], 32 [W] 형광등 1등의 광속 3200 [lm], 보수율 70 [%], 조명률 50 [%]로 한다면 이 사무실에 필요한 소요 등기구 수는 몇 등인가?

답 : F32 x 2 16 [등]이 필요하다.
★☆☆
문제 5) 조명설비에 대한 다음 각 물음에 답하시오.
(1) 배선 도면에 아래 그림과 같이 표현되어 있다. 이것의 의미를 쓰시오.

250 [W] 수은등
(2) 평면이 30 x 15 [m2]인 사무실에 32 [W], 전광 속 3000 [lm]인 형광등을 사용하여 평균 조도를 450 [lx]로 유지하도록 설계하고자 한다. 이 사무실에 필요한 형광등 수를 산정하시오. (단, 조명률은 0.6이고, 감광 보상률은 1.3이다.)

답 : 147 [등]
| 참조 : 등의 개수 산정 시 계산값에서 소수점 이하가 발생하면 절상하여 구한다. |
★★☆
문제 6) 가로 20 [m], 세로 50 [m]인 사무실에서 평균 조도 300 [lx]를 얻고자 형광등 40 [W] 2등용을 시설할 경우 다음 각 물음에 답하시오. (단, 40 [W] 2등용 형광등 기구의 전체 광속은 4600 [lm], 조명률은 0.5, 감광 보상률은 1.3, 전기 방식은 단상 2 선식 200 [V]이며, 40 [W] 2등용 형광등의 전체 입력 전류는 0.87 [A]이고, 1회로의 최대 전류는 16 [A]로 한다.)
(1) 형광등 기구 수를 구하시오.

답 : 170 [개]
(2) 최소 분기회로 수를 구하시오.

답 : 16 [A] 분기 10회로
| 참고 : 분기 회로수 결정 : ![]() 분기 회로수 결정 시 등기구의 전류가 주어지면 다음과 같이 계산하여 구한다. ![]() 분기 회로수 계산 결과값에 소수점이 발생하면 소수점 이하 절상한다. 분기 회로의 전류가 주어지지 않을 때에는 16[A]를 표준으로 한다. |
★★☆
문제 7) 평균 조도 600 [lx]인 전반조명을 시설한 50 [m2]의 방이 있다. 이 방에 조명기구 1대당 광속 6000 [lm], 조명률 80 [%], 유지율 62.5 [%]인 등기구를 설치하려고 한다. 이때 조명기구 1대의 소비 전력을 80 [W]라면 이 방에서 24시간 연속 점등한 경우 하루의 소비전력량은 몇 [kWh]인가?

★☆☆
문제 8) 도로의 너비가 30 [m]인 곳의 양쪽으로 30[m] 간격으로 지그재그식으로 등주를 배치하여 도로 위의 평균 조도를 6 [lx]가 되도록 하고자 한다. 도로면의 광속 이용률은 32 [%], 유지율은 80 [%]로 한다고 할 때 각 등주에 사용되는 수은등의 규격은 몇 [W]의 것을 사용하여야 하는지 전광 속을 계산하고 주어진 수은등 규격표에서 찾아 쓰시오.
| 크기[W] | 전광속[lm] |
| 100 200 250 300 500 |
2200 ~ 3000 4000 ~ 5500 7700 ~ 8500 10000 ~ 11000 13000 ~ 14000 |

| 참고 : 외부 계산시 면적은 1/2, 등수는 1로 곱해준다. |
★☆☆
문제 9) 폭 24 [m]의 도로 양쪽에 20 [m] 간격으로 지그재그 식으로 가로등을 배치하여 노면의 평균 조도를 5 [lx]로 한다면 각 등주 상에 몇 [lm]의 전구가 필요한가? (단, 도로면에서의 광속 이용률은 25 [%], 감광 보상률은 1이다.)

★★★
문제 10) 폭 15 [m]의 무한히 긴 가로의 양측에 간격 20 [m]를 두고 수많은 가로등이 점등되고 있다. 1등당의 전광 속은 3000 [lm]으로, 45 [%]가 가로 전면에 방사하는 것으로 하면 가로면의 평균조도[lx]는 얼마인가?

★☆☆
문제 11) 그림과 같이 폭 30 [m]인 도로 양쪽에서 지그재그 식으로 300 [W]의 고압 수은등을 배치하여 도로의 평균 조도를 5 [lx]로 하자면, 각 등의 간격 S [m]은 얼마가 되어야 하는가? (단, 조명률은 0.32, 감광 보상률은 1.3, 수은등의 광속은 5500 [lm]이다.)


★☆☆
문제 12) 차도폭 20 [m], 등주 길이가 10 [m](Pole)인 등을 대칭 배열로 설계하고자 한다. 조도 22.5 [lx], 감광 보상률 1.5, 조명률 0.5, 광속 20000 [lm], 250 [W]의 메탈 핼라이드 등을 사용한다.
(1) 등주 간격을 구하시오.

(2) 운전자의 눈부심을 방지하기 위하여 컷오프(Cutoff) 조명일 때 최소 등 간격을 구하시오.

답 : 30 [m] 이하
(3) 보수율을 구하시오.

★☆☆
문제 13) 사용전압 220 [V]인 옥내 배선에서 소비전력 60 [W], 역률 90 [%]인 형광등 50개와 소비전력 100 [W]인 백열등 60개를 설치하려고 할 때 최소 분기 회로수는 몇 회로인가? (단, 16 [A] 분기회로로 한다.)

답 : 16[A] 분기 3회로
3.4 조도 계산
★★☆
문제 1) 각 방향에 900 [cd]의 광도를 갖는 광원을 높이 3 [m]에 취부 한 경우 직하로부터 30°방향의 수평면 조도[lx]를 구하시오.

참고 :![]() |
★☆☆
문제 2) 그림과 같이 높이 5 [m]의 점에 있는 백열전등에서 광도 12500 [cd]의 빛이 수평거리 7.5 [m]의 점 P에 주어지고 있다. 다음 각 물음에 답하시오.

(1) P점의 수평면 조도를 구하시오.

(2) P점의 수직면 조도를 구하시오.

★☆☆
문제 3) 그림과 같이 높이 5 [m]의 점에 있는 백열전등에서 광도 12500 [cd]의 빛이 수평 거리 7.5 [m]의 점 P에 주어지고 있다. [표 1], [표 2]를 이용하여 다음 각 물음에 답하시오.


(1) P점의 수평면 조도를 구하시오.

(2) P점의 수직면 조도를 구하시오.

★☆☆
문제 4) 그림과 같이 완전 확산형의 조명 기구가 설치되어 있다. A점에서의 광도와 수평면 조도를 계산하시오. (단, 조명 기구의 전광 속은 18500 [lm]이다.

(1) 광도[cd]를 구하시오.

참조 : 광속![]() |
(2) A점의 수평면 조도를 구하시오.

★☆☆
문제 5) 가로 8 [m], 세로 3 [m]인 냉각탑에 높이가 2.5 [m]인 조명 두 개가 8 [m] 간격을 두고 있다. 냉방팬 정중앙에서의 수평면 조도를 구하시오. (단, 광원에서 중앙 쪽으로 향하는 광도는 27 [cd]이다.)

참고![]() |
★☆☆
문제 6) 그림과 같은 점광원으로부터 원뿔 밑면까지의 거리가 4 [m]이고, 밑면의 반지름이 3 [m]인 원형면의 평균 조도가 100 [lx]라면 이 점광원의 평균 광도[cd]는?


★★☆
문제 7) 다음의 A, B 전등 중 어느 것을 사용하는 편이 유리한지 다음 표를 이용하여 산정하시오. (단, 1시간당 점등 비용으로 산정할 것)
| 전등의 종류 | 전등의 수명[시간] | 1[cd]당 소비 전력[W] (수명 중의 평균) |
평균 구면 광도[cd] | 1[kWh]당 전력 요금[원] |
전등의 단가[원] |
| A | 1500 | 1.0 | 38 | 70 | 1900 |
| B | 1500 | 1.1 | 40 | 70 | 2000 |

답 : A전등이 B전등보다 유리하다.
★ ☆ ☆
문제 8) 다음 그림과 같은 사무실이 있다. 이 사무실의 평균 조도를 200 [lx]로 하고자 할 때 다음 각 물음에 답하시오.

| 조건 형광등은 40[W]를 사용, 이 형광등의 광속은 2500[lm]으로 한다. 조명률은 0.6, 감광 보상률은 1.2로 한다. 사무실 내부에 기둥은 없는 것으로 한다. 간격은 등기구 센터를 기준으로 한다. 등기구는 ○으로 표현하도록 한다. |
(1)이 사무실에 필요한 형광등의 수를 구하시오

참고 : 등의 개수 선정![]() |
(2) 등기구를 답안지에 배치하시오.

(3)등간의 간격과 최외각에 설치된 등기구와 건물 벽간의 간격(A, B, C, D)은 각각 몇 [m]인가?

A : 1.25 [m], B : 1.25 [m], C : 2.5 [m], D : 2.5 [m]
참고![]() |
(4) 만일 주파수 60 [Hz]에 사용하는 형광방전등을 50 [Hz]에서 사용한다면 광속과 점등시간은 어떻게 변환되는지를 설명하시오.
광속 : 증가
점등시간 : 늦어짐
| 참고 형광등의 리액턴스는 주파수와 비례관계이므로 주파수가 낮을수록 리액턴스는 작아져 광속이 늘어나는 효과가 생긴다. 형광등의 주파수와 점등시간은 반비례관계이므로 주파수가 낮을수록 점등시간은 오래 걸린다. |
(5) 양호한 전반 조명이라면 등간격은 등높이의 몇 배 이하로 해야 하는가?
1.5배
참고![]() |
'전기 > 전기기사 실기' 카테고리의 다른 글
| [전기기사 실기 계산 04] 전동기 용량, 전열기 효율 계산 (0) | 2024.07.21 |
|---|---|
| [전기기사 실기 계산 03] 변압기 용량, 변압기 효율 계산 (0) | 2024.07.21 |
| [전기기사 실기 계산 01] 보정률, 오차율, 참값, 측정값 계산하기 (0) | 2024.07.04 |
| [전기기사 실기] 단답형 총정리_조명설비 (2) | 2024.06.10 |
| [전기기사 실기] 단답형 총정리_송배전설비 (2) | 2024.06.05 |












