
전기기사 실기에서 출제되는 계산 문제 중
- 변압기 용량
- 변압기 효율
2008~2022년의 15개년 문제를 정리해보려고 합니다.
출제된 횟수를 특수문자 ★로 표현하되, 최대 3번까지 적용합니다.
목차
1. 변압기 기본 공식
1.1 삼각함수

1.2 네트워크 변압기 용량

1.2 변압기 용량

1.3 변압기 1대 용량

1.4 변압기 권수비

1.5 변압기 부하분담비

1.6 변압기 효율

1.7 V결선 변압기 효율

1.8 변압기 최대효율

2. 변압기 계산
2.1 변압기 용량 계산
★★☆
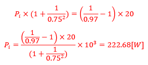
최대 수요전력이 5000 [kW], 부하 역률 90 [%], 네트워크 수전 회선수 4회선, 네트워크 변압기의 과부하율이 130 [%]인 경우 네트워크 변압기 용량은 몇 [kVA] 이상이어야 하는가?

참고 :![]() |
★☆☆
500 [kVA] 단상 변압기 3대를 3상 Δ-Δ결선으로 사용하고 있었는데, 부하 증가로 500 [kVA] 예비 변압기 1대를 추가하여 공급한다면 몇 [kVA]로 공급할 수 있는지 쓰시오.

★☆☆
단상 변압기 2대로 V결선하여 출력 11 [kW], 역률 0.8, 효율 0.85의 3상 유도 전동기를 운전하려고 한다. 이 경우 변압기 한 대의 용량을 구하시오.
변압기의 표준 용량[kVA]
| 5 | 7.5 | 10 | 15 | 20 | 25 | 50 | 75 | 100 |
변압기 출력 계산

변압기 1대 용량

답 : 표준 용량 표에서 10 [kVA] 선정
★☆☆
어떤 부하 설비의 최대 수용 전력이 각각 200 [W], 300 [W], 800 [W], 1200 [W], 2500 [W]이고, 각 부하 간의 부등률이 1.14, 종합 부하 역률은 90 [%] 일 경우의 변압기 용량을 결정하시오.
| 변압기 표준 용량[kVA] | ||||||||||||
| 1 | 2 | 3 | 5 | 7.5 | 10 | 15 | 20 | 30 | 50 | 100 | 150 | 200 |

★☆☆
그림과 같이 부하가 A, B, C에 시설될 경우, 이것에 공급할 변압기 Tr의 용량을 계산하여 표준 용량을 선정하시오. (단, 부등률은 1.1, 부하 역률은 80 [%]로 한다.)
| 변압기 표준 용량[kVA] | ||||||
| 50 | 100 | 150 | 200 | 250 | 300 | 350 |


답 : 200 [kVA]
참고 :![]() |
★☆☆
어느 수용가의 총 설비부하 용량은 전등 600 [kW], 동력 1000 [kW]라고 한다. 각 수용가의 수용률은 50 [%]이고, 각 수용가 간의 부등률은 전등 1.2, 동력 1.5, 전등과 동력 상호 간은 1.4라고 하면 여기에 공급되는 변전시설 용량은 몇 [kVA]인가? (단, 부하의 전력 손실은 5 [%]로 하며, 역률은 1로 계산한다.)

참고 :![]() 부하의 전력 손실을 감안하여 여유율로 (1+0.05)를 곱하여 준다. |
★☆☆
고압 자가용 수용가가 있다. 이 수용가의 부하는 Δ결선 변압기에서 부하 50 [kW](역률 1)와 100 [kW](역률 0.8)인 부하가 연결되어 있다. 다음 물음에 답하시오.
(1) Δ결선 운전 시 변압기 1대에 걸리는 최소 용량을 선정하시오.

답 : 75 [kVA] 선정
참고 :![]() |
(2) 운전 중 변압기 1대가 고장인 경우 V결선하여 운전한다. V결선 시 과부하율을 구하시오

| 참고 : 변압기 한 대 용량은 75[kVA]이며, V결선시 √3을 곱해준다. ![]() |
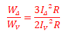
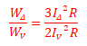
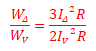
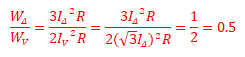
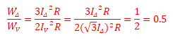
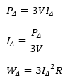
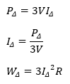
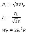
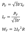
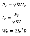
(3) Δ결선 시의 동손을 WΔ, V결선 시의 동손을 WV라 하였을 때 WΔ/WV를 구하시오. (단, 변압기는 단상 변압기를 사용하고 부하는 변압기 V결선 시, 과부하시키지 않는 것으로 한다.)

에서

대입하게 되면 아래와 같다.

| 참조 : | |
Δ결선![]() |
V결선![]() |
★☆☆
1차 측 전압이 6.6 [kV], 권수비 30인 변압기가 있다. 다음 물음에 답하시오.
(1) 2차 측 정격 전압[V]을 구하시오.

(2) 2차에 50 [kW], 진상 역률 0.8인 부하를 연결할 경우, 1차 전류 및 2차 전류를 구하시오.

(3) 1차 입력 [kVA]을 구하시오.

| 참고 : 문제에서 단상 또는 3상이라고 언급이 없다면, 단상으로 계산한다. |
★★★
지표면상 15 [m] 높이에 수조가 있다. 이 수조에 초당 0.2 [m3]의 물을 양수하려고 한다. 여기에 사용되는 펌프용 전동기에 3상 전력을 공급하기 위하여 단상 변압기 2대를 사용하였다. 펌프 효율이 55 [%]이면, 변압기 1대의 용량은 몇 [kVA]이며, 이때의 변압기 결선 방법을 쓰시오. (단, 펌프용 3상 농형 유도 전동기의 역률은 90 [%]이며, 여유 계수는 1.1로 한다.)
(1) 펌프용 전동기 소요 동력

(2) 변압기 1대 용량

(3) 변압기 결선 방식
V결선
※ 전동기 용량에 따른 변압기 용량 계산은 전동기 용량 계산 부분에서도 표현을 하였다.
[전기기사 실기] 전동기 용량, 전열기 효율 계산
전기기사 실기에서 출제되는 계산 문제 중전동기 용량전열기 효율2008~2022년의 15개년 문제를 정리해보려고 합니다. 출제된 횟수를 특수문자 ★로 표현하되, 최대 3번까지 적용합니다. 목차 1.
engineer-ing.tistory.com
★☆☆
역률 80 [%], 10000 [kVA]의 부하를 가진 변전소에 2000 [kVA]의 콘덴서를 설치하여 역률을 개선하면 변압기에 걸리는 부하는 몇 [kVA]인가?

참고 :![]() |
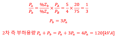
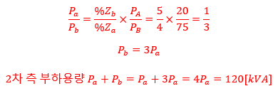
★☆☆
3150/210 [V]인 변압기의 용량이 각각 250 [kVA], 200 [kVA]이고. %임피던스 강하가 각각 2.5 [%]와 3 [%] 일 때 그 병렬 합성 용량[kVA]은 얼마인가?

| 참고 : - 임피던스가 같다면 250+200=450[kVA]가 된다. - 부하분담비 공식 ![]() - Pa 계산 시, 변압기 용량을 초과하게 된다. |
※ 변압기 병렬운전 조건 붕괴 시 나타나는 현상은 문제로 출제되기도 한다.
변압기 병렬운전 조건 및 조건이 맞지 않을 경우
변압기 병렬운전 조건과 조건이 맞지 않을 경우의 현상에 대해 알아보자 목차1. 변압기 병렬운전 정의전원 용량을 증가시키기 위해 2대 이상의 변압기를 병렬로 결선하여 운전하는 방식 2. 변
engineer-ing.tistory.com
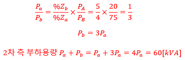
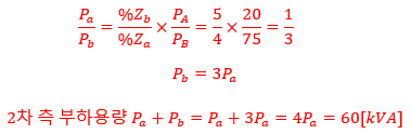
★☆☆
정격전압이 같은 두 변압기가 병렬로 운전 중이다. A변압기의 정격용량은 20 [kVA], %임피던스는 4 [%]이고, B변압기의 정격용량은 75 [kVA], %임피던스는 5 [%] 일 때, 다음 각 물음에 답하시오. (단, 변압기 A, B의 내부저항과 누설리액턴스의 비는 같다. (Ra/Xa = Rb/Xb)
(1) 2차 측의 부하용량이 60 [kVA] 일 때 각 변압기가 분담하는 전력은 얼마인가?
부하분담은 %임피던스에 반비례하고 용량에 비례한다.

A변압기와 B변압기의 분담용량은 다음과 같다.

(2) 2차 측의 부하용량이 120 [kVA] 일 때 각 변압기가 분담하는 전력은 얼마인가?
부하분담은 %임피던스에 반비례하고 용량에 비례한다.

A변압기와 B변압기의 분담용량은 다음과 같다.

(3) 변압기가 과부하되지 않는 범위 내에서 2차 측 최대 부하용량은 얼마인가?
A변압기가 최대로 공급할 수 있는 용량은 20 [kVA]이므로, 변압기가 과부하되지 않는 범위 내의 2차 측 최대 부하용량은

★☆☆
용량이 500 [kVA]인 변압기에 역률 60 [%](지상), 500 [kVA]인 부하가 접속되어 있다. 부하에 병렬로 전력용 커패시터를 설치하여 역률을 90 [%]로 개선하려고 할 때, 이 변압기에 증설할 수 있는 부하 용량 [kW]을 계산하시오. (단, 증설 부하의 역률은 90 [%]이다.)
풀이 1>

풀이 2>

2.2 변압기 효율 계산
★★☆
용량 10 [kVA], 철손 120 [W], 전부하 동손 200 [W]인 단상 변압기 2대를 V결선하여 부하를 걸었을 때, 전부하 효율은 몇 [%]인지 구하시오. (단, 부하의 역률을 1/2이다.)

★★☆
전압 3300 [V], 전류 43.5 [A], 저항 0.66 [Ω], 무부하손 1000 [W]인 변압기에서 다음 조건일 때의 효율을 구하시오.
(1) 전부하 시 역률 100 [%]와 80 [%]인 경우
① 전부하 역률 100 [%] 일 때

② 전부하 역률 80 [%] 일 때

(2) 반부하 시 역률 100 [%]와 80 [%]인 경우
① 반부하 역률 100 [%] 일 때

② 반부하 역률 80 [%] 일 때

| 참고 : m부하로 운전 시 변압기 효율 ![]() 전부하 시 m=1로 간주한다. |
★☆☆
변압기 손실과 효율에 대하여 다음 각 물음에 답하시오.
(1) 변압기의 손실에 대하여 설명하시오.
무부하손 : 부하에 관계없이 일정한 손실로, 철손과 유전체손이 있다.
부하손 : 부하의 증감에 따라 변화하는 손실로, 동손과 표유부하손 등이 있다.
(2) 변압기의 효율을 구하는 공식을 쓰시오.

(3) 최대 효율 조건을 쓰시오.
변압기의 철손과 동손이 같을 때
★☆☆
변압기의 1일 부하 곡선이 그림과 같은 분포일 때 다음 물음에 답하시오. (단, 변압기의 전부하 동손은 130 [W], 철손은 100 [W]이다.)

(1) 1일 중의 사용 전력량은 몇 [kWh]인가?

(2) 1일 중의 전손실 전력량은 몇 [kWh]인가?

(3) 1일 중 전일 효율은 몇 [%]인가?

★☆☆
철손이 1.2 [kW], 전부하 시의 동손이 2.4 [kW]인 변압기가 하루 중 7시간 무부하 운전, 11시간 1/2 부하 운전, 그리고 나머지 시간은 전부하 운전할 때 하루의 총 손실은 얼마인가?

| 참고 |
★☆☆
20 [kVA]
① 변압기 최대효율

② 최대효율

① 번식에 출제된 문제의 용량을 대입하면,

양변 역순하면

② 식을

대입하면


★☆☆
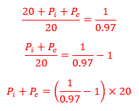
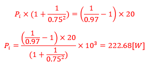
50000 [kVA]의 변압기가 있다. 이 변압기의 손실은 80 [%] 부하율일 때 53.4 [kW]이고, 60 [%] 부하율일 때 36.6 [%]이다. 다음 각 물음에 답하시오.
(1) 이 변압기의 40 [%] 부하율일 때의 손실을 구하시오.

철손이 일정하므로 위의 두 식을 빼면 다음과 같다.

그러므로 철손은

(2) 최고 효율은 몇 [%] 부하율일 때인가?

| 참고 변압기의 최대 효율 조건 변압기의 철손과 동손이 같을 때이다. ![]() |
'전기 > 전기기사 실기' 카테고리의 다른 글
| [전기기사 실기 계산 05] 발전기 용량, 발전기 효율 계산 (1) | 2024.07.21 |
|---|---|
| [전기기사 실기 계산 04] 전동기 용량, 전열기 효율 계산 (0) | 2024.07.21 |
| [전기기사 실기 계산 02] 조명설비 계산 (1) | 2024.07.07 |
| [전기기사 실기 계산 01] 보정률, 오차율, 참값, 측정값 계산하기 (0) | 2024.07.04 |
| [전기기사 실기] 단답형 총정리_조명설비 (2) | 2024.06.10 |











