
전기기사 실기에서 출제되는 계산 문제 중
- 전동기 용량
- 전열기 효율
2008~2022년의 15개년 문제를 정리해보려고 합니다.
출제된 횟수를 특수문자 ★로 표현하되, 최대 3번까지 적용합니다.
목차
1. 기본 수식
1.1 양수 펌프용 전동기 용량
두 식의 차이점은 초당 양수량과 분당 양수량의 단위 차이이다.

1.2 에스컬레이터용 전동기 용량

1.3 권상기용 전동기 용량

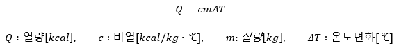
1.4 전열기 효율

열량은 다음과 같이 열량[kcal] = 비열[kcal/kg•℃] x m [kg] x ΔT [℃]로, 로, 소방설비기사(기계)에서도 출제가 되기도 한다.

2. 계산 유형
2.1 양수 펌프용 전동기 용량
★☆☆
지표면상 15 [m] 높이에 수조가 있다. 이 수조에 초당 0.2 [m3]의 물을 양수하는 데 사용되는 펌프용 전동기에 3상 전력을 공급하기 위하여 단상 변압기 2대를 V결선하였다. 펌프 효율이 65 [%]이고, 펌프 축동력에 10 [%]의 여유를 두는 경우 다음 각 물음에 답하시오. (단, 펌프용 3상 농형 유도 전동기의 역률을 85 [%]로 가정한다.)
(1) 펌프용 전동기의 소요 동력은 몇 [kVA]인가?

(2) 단상 변압기를 V결선할 경우 출력은 몇 [kVA]인가?

※ 위 문제와 같이 전동기 용량에 따른 변압기 용량 출제 문제가 전기기사 실기에 출제가 되기도 한다.
[전기기사 실기] 변압기 용량, 변압기 효율 계산
전기기사 실기에서 출제되는 계산 문제 중변압기 용량변압기 효율2008~2022년의 15개년 문제를 정리해보려고 합니다. 출제된 횟수를 특수문자 ★로 표현하되, 최대 3번까지 적용합니다. 목차 1.
engineer-ing.tistory.com
★☆☆
지표면상 10 [m] 높이에 수조가 있다. 이 수조에 초당 1 [m3]의 물을 양수하려고 할 때, 다음 물음에 답하시오.(단, 펌프 효율이 70 [%]이고, 유도 전동기의 역률은 100 [%]이며, 여유율은 20 [%]로 한다.)
(1) 펌프용 3상 농형 유도 전동기의 출력[kW]을 구하시오.

(2) 단상 변압기 2대를 사용하여 V 결선으로 전력을 공급할 경우 1대의 용량[kVA]을 구하시오.

| 참고 (1) 양수 펌프용 전동기 용량 ![]() ![]() (2) V결선 : 단상 변압기 2대로 3상 전력을 공급하는 변압기 결선 방법 |
★★★
매분 10[m3]의 물을 높이 15 [m]인 탱크에 양수하는데 필요한 전력을 V결선한 변압기로 공급한다면, 여기에 필요한 단상 변압기 1대의 용량은 몇 [kVA]인가? (단, 펌프와 전동기의 합성 효율은 65 [%]이고, 전동기의 전부하 역률은 90 [%]이며, 펌프의 축동력은 15 [%]의 여유를 본다고 한다.)

※ kVA로 환산하기 위해서는 전동기 용량[kW]을 cosθ(역률)을 나누어준다.
★★☆ 양수량 15[m3/min], 양정 20 [m]의 양수 펌프용 전동기의 소요 전력[kW]을 구하시오.(단, k=1.1, 펌프 효율은 80 [%]로 한다.)

참고 :![]() |
★☆☆
지표면상 18[m] 높이의 수조가 있다. 이수조에 25 [m3/min] 물을 양수하는데 필요한 펌프용 전동기의 소요 동력은 몇 [kW]인가? (단, 펌프의 효율은 82 [%]로 하고. 여유계수는 1.1로 한다.)

★☆☆
지표면상 10[m] 높이의 수조가 있다. 이 수조에 시간당 3600 [m3]의 물을 양수하는데 필요한 펌프용 전동기의 소요 동력은 몇 [kW]인가? (단, 펌프 효율은 80 [%]이고, 펌프 축동력에 20 [%] 여유를 준다.)
풀이 1> 초당 양수량으로 계산된 것으로, 1시간은 3600초 이므로, 3600을 나누어준다.

풀이 2> 분당 양수량으로 계산된 것으로, 1시간은 60분 이므로, 60을 나누어준다.

★☆☆ 1시간에 18[m3]로 솟아 나오는 지하수를 5 [m]의 높이에 배수하고자 한다. 이때 5 [kW]의 전동기를 사용한다면 매시간당 몇 분씩 운전하면 되는지 구하시오. (단, 펌프의 효율은 75 [%]로 하고, 관로의 손실계수는 1.1로 한다.)
풀이 1>

풀이 2>

참고 :![]() |
2.2 에스컬레이터용 전동기 용량
★☆☆
에스컬레이터용 전동기의 용량[kW]을 계산하시오. (단, 에스컬레이터 속도 : 30 [m/s], 경사각 : 30°, 에스컬레이터 적재하중 : 1200 [kgf], 에스컬레이터 총 효율 : 0.6, 승객 승입률 : 0.85이다.)

참고 :![]() |
2.3 권상기용 전동기 용량
★☆☆
권상 하중이 2000 [kg], 권상 속도가 40 [m/min]인 권상기용 전동기 용량 [kW]을 구하시오. (단, 여유율은 30 [%], 효율은 80 [%]로 한다.)

참고 :![]() |
★☆☆
어느 공장에서 기중기의 권상 하중 50 [t], 12 [m] 높이를 4 [min]에 권상하려고 한다. 이것에 필요한 권상 전동기의 출력을 구하시오. (단, 권상 기구의 효율은 75 [%]이다.)

★★☆
그림과 같은 2:1 로핑의 기어레스 엘리베이터에서 적재하중은 1000 [kg], 속도는 140 [m/min]이다. 구동 로프 바퀴의 직경은 760 [mm]이며, 기체의 무게는 1500 [kg]인 경우 다음 각 물음에 답하시오. (단, 평형률은 0.6, 엘리베이터의 효율은 기어레스에서 1:1 로핑인 경우는 85 [%], 2:1 로핑인 경우는 80 [%]이다.)

(1) 권상소요 동력은 몇 [kW]인지 계산하시오.

(2) 전동기의 회전수는 몇 [rpm]인지 계산하시오.

※ 길이가 2배 증가했으니, 2를 곱해준다.
| 참고 엘리베이터 전동기 용량 ![]() 주어진 조건에서 2:1 로핑인 경우로 v=140x2=280이다. |
★☆☆
권상기용 전동기의 출력이 50 [kW]이고 부당 회전속도가 950 [rpm] 일 때 그림을 참고하여 물음에 답하시오. (단, 기중기의 기계 효율은 100 [%]이다.)

(1) 권상 속도는 몇 [m/min]인가?

(2) 권상기의 권상 중량은 몇 [kgf]인가?


참고![]() |
2.4 전열기 효율
★☆☆
15 [℃]의 물 4 [L]를 용기에 넣고 1 [kW]의 전열기로 90 [℃]로 가열하는데 30분 소요되었다. 이 장치의 효율[%]은 얼마인가?

| 참고 : ◆ 열량 수식 : 소방설비기사(기계)에서도 출제가 된다. ◆ 전열기의 효율 ![]() ![]() |
★☆☆
4 [L]의 물을 15 [℃]에서 90 [℃]로 온도를 높이는데 1 [kW]의 전열기로 25분간 가열하였다. 이 전열기의 효율은 계산하시오.

참고 : 전열기 효율![]() |
'전기 > 전기기사 실기' 카테고리의 다른 글
| [전기기사 실기 계산 06] UPS 축전지 계산 (1) | 2024.08.23 |
|---|---|
| [전기기사 실기 계산 05] 발전기 용량, 발전기 효율 계산 (1) | 2024.07.21 |
| [전기기사 실기 계산 03] 변압기 용량, 변압기 효율 계산 (0) | 2024.07.21 |
| [전기기사 실기 계산 02] 조명설비 계산 (1) | 2024.07.07 |
| [전기기사 실기 계산 01] 보정률, 오차율, 참값, 측정값 계산하기 (0) | 2024.07.04 |










