전기/전기기사 실기

[전기기사 실기 계산 05] 발전기 용량, 발전기 효율 계산

엔지니어관리자 2024. 7. 21. 17:01

 

 

전기기사 실기에서 출제되는 계산 문제 중

  • 발전기 용량
  • 발전기 효율
  • 연료 소비량

2008~2022년의 15개년 문제를 정리해보려고 합니다.

 

출제된 횟수를 특수문자 ★로 표현하되, 최대 3번까지 적용합니다.

 

목차

    1. 기본수식

    1.1 발전기 용량

     

    1.2 화력 발전기 출력

     

    1.3 수력 발전기 출력

     

    1.4 풍력 에너지

     

    1.5 발전기 효율

    ※ "엔진출력을 구하시오" 라고 문제가 출제된다면, "발전기 입력"을 구하는 것이다.

     

    1.6 단위

    마력단위는 HP와 PS를 사용하지만, 국내에서는 kW를 사용하므로, 단위변환 시 다음과 같다.

    1 [HP] = 746.6 [W]

    1 [PS] = 735.5 [W]

     

    2. 계산 유형

    2.1 발전기 용량

    ★★☆

    부하가 유도 전동기이고, 기동 용량이 500 [kVA]이다. 기동 시 전압 강하는 20 [%]이며, 발전기의 과도 리액턴스가 25 [%]이다. 이 전동기를 운전할 수 있는 자가 발전기의 최소 용량은 몇 [kVA]인지 구하시오.

    답 : 발전기 최소 용량은 500 [kVA]이다.

    ※ 표준용량을 구해야 하므로, 혼동하여서는 안된다.

    참고 :

     

     

     

    ★★☆

    비상용 자가 발전기를 구입하고자 한다. 부하는 단일 부하로서 유도 전동기이며 기동 용량이 1800 [kVA]이고, 기동 시의 전압강하는 20 [%]까지 허용하며, 발전기의 과도 리액턴스는 26 [%]로 본다면 자가 발전기의 용량은 이론(계산)상 몇 [kVA] 이상의 것을 구입하여야 하는지 구하시오.

    참고 :


     

    위 문제는 2013, 2016년과 2012, 2016년에 출제된 기준이며,
    KOSHA GUIDE E-84-2022에서는 다음과 같이 명시되어 있다.

     

    ★☆☆

    다음 부하에 대한 발전기 최소 용량[kVA]을 아래의 식을 이용하여 산정하시오. (단, 전동기의 [kW] 당 입력 환산계수(α)는 1.45, 전동기의 기동 계수(c)는 2, 발전기의 허용 전압강하 계수(k)는 1.45이다.)

    [발전기 용량 산정식]



    여기서,

    PG : 발전기 용량
    ∑P : 전동기 이외 부하의 입력 용량 합계[kVA]
    ∑Pm : 전동기 부하의 용량 합계[kW]
    PL : 전동기 부하 중 기동용량이 가장 큰 전동기 부하 용량[kW]
    α : 전동기의 [kW]당 입력[kVA] 용량 계수
    c : 전동기의 기동 계수
    k : 발전기의 허용 전압강하 계수
    No 부하 종류 부하 용량
    1 유도 전동기 부하 37[kW] x 1대
    2 유도 전동기 부하 10[kW] x 5대
    3 전동기 이외 부하의 입력 용량 30[kVA]

    위 문제는 2022년에 출제되었으며, 국토교통부 설계기준 'KDS 31 60 20'에 명시된 계산 수식이다.

     

     

    비상발전기 용량 계산

     

    비상발전기 용량 계산

    비상발전기 용량 계산은 몇 가지 기준들이 있습니다.국내에서는 국토교통부의 설계기준 KDS 31-60-20과 한국산업안전공단(KOSHA)의 E-84-2022에 의한 용량 계산입니다. 한국산업안전보건공단(KOSHA) 비

    engineer-ing.tistory.com

     

     

    ★☆☆

    주어진 표는 어떤 부하의 데이터이다. 이 데이터를 수용할 수 있는 발전기 용량을 산정하시오.

    구분 부하의 종류 출력[kW] 전부하 특성
    역률[%] 효율[%] 입력[kVA] 입력[kW]
    No.1 유도 전동기 37 x 6 87 81 52.5 x 6 45.7 x 6
    No.2 유도 전동기 11 84 77 17 14.3
    No.3 전등⋅기타 30 100 - 30 30
    합계     88 -    

    (1) 전부하로 운전하는데 필요한 정격 용량[kVA]은 얼마인가?

    참고 : [kVA] = [kW] / cosθ

     

    (2) 전부하로 운전하는데 필요한 엔진 출력은 몇 [PS]인가? (단, 발전기 효율은 92 [%]이다.)

    참고 :
    - 엔진 출력 = 발전기 입력
    - 1[kW]를 [PS] 단위로 변환시 1.36[PS]가 된다.

     

    2.2 화력 발전기 출력

    ★★☆

    디젤 발전기를 5시간 전부하 운전할 때 연료 소비량이 287 [kg]이었다. 이 발전기의 정격 출력은 몇 [kVA]인가? (단, 중유의 열량은 104 [kcal/kg], 기관 효율 36.6 [%], 발전기 효율 82.7 [%], 전부하 시 발전기 역률 80 [%]이다.)

    참고 :
    화력 발전기 출력

     

    2.3 수력 발전기 출력

    ★☆☆

    유효 낙차 100 [m], 최대 사용 수량 10 [m3/sec]의 수력 발전소에 발전기 1대를 설치하려고 한다. 적당한 발전기의 용량 [kVA]은 얼마인지 계산하시오. (단, 수차와 발전기의 종합 효율 및 부하 역률은 각각 85 [%]로 한다.)

    참고 :
    수력 발전기 출력




    발전기 용량

     

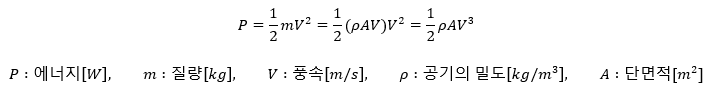
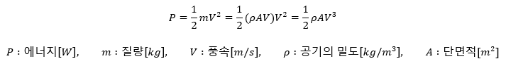
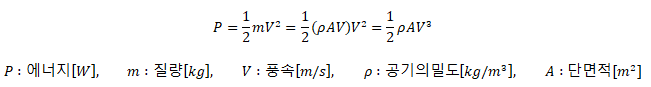
    2.4 풍력 에너지

    ★☆☆

    회전날개의 지름이 31 [m]인 프로펠러형 풍차의 풍속이 16.5 [m/s] 일 때 풍력 에너지[kW]를 계산하시오. (단, 공기의 밀도는 1.225 [kg/m3]이다.

    참고 : 풍력 에너지

     

    2.5 발전기 효율

    ★☆☆

    발전기의 최대 출력은 400 [kW]이며, 일 부하율 40 [%]로 운전하고 있다. 중유의 발열량은 9600 [kcal/L], 열효율은 36 [%] 일 때, 하루 동안의 소비 연료량[L]은 얼마인지 계산하시오.

    참고 : 발전기 효율

     

    ★☆☆

    출력 100 [kW]의 디젤 발전기를 발열량 10000 [kcal/kg]의 연료 215 [kg]를 사용하여 8시간 운전할 때 발전기의 종합 효율은 몇 [%]인가?

     

    ★☆☆

    정격 출력 500 [kW]의 디젤 엔진 발전기를 발열량 10000 [kcal/L]인 중유 250 [L]을 사용하여 1/2 부하에서 운전하는 경우 몇 시간 동안 운전이 가능한지 구하시오. (단, 발전기의 열효율을 34.4 [%]로 한다.)

     

    2.6 연료 소비량

    ★☆☆

    용량이 1000 [kVA]인 발전기를 역률 80 [%]로 운전할 때 시간당 연료소비량[L/h]을 구하시오. (단, 발전기의 효율은 0.93, 엔진의 연료 소비율은 190 [g/ps∙h], 연료의 비중은 0.92이다.)

    풀이 1>

     

    풀이 2> [L/h]로 구하기 위해, 자와 분모의 단위를 없애기 위해 다음과 같이 계산

    1) 발전기 입력을 구하기 위해서는 효율로 나눠주고,


    2) 비중은 다음과 같이 분자와 분모의 단위가 없어지므로, 단위가 없다.


    ※ 표준 물질의 밀도는 4℃, 1기압에서 물의 밀도는 1.0[g/mL]이다.

     

    참고
    참고 :
    1[PS] = 735.5[W]

     

    비중 (Specific gravity)
    비중은 물질의 고유 특성으로서 기준이 되는 물질의 밀도에 대한 상대적인 비를 나타낸다. 일반적으로 액체의 경우 1기압 하에서 4℃ 물을 기준으로 하고, 기체의 경우에는 20℃ 공기를 기준으로 한다.


    밀도 (Density)
    밀도는 어떤 물질의 질량을 부피로 나눈 양이다. (물질의 단위부피당 질량)
    밀도(g/mL) = 질량(g) / 부피mL)
    밀도의 단위는 g/mL 또는 g/cm3 이다.
    고체는 g/cm3, 액체는 g/mL
    일반적으로, 고체 또는 액체의 밀도 단위는 g/mL를 사용한다.
    단, 기체는 g/L를 사용한다.
    예를 들면, 4℃ 1기압에서 물의 밀도는 1.0[g/mL]이다.

     

     

    참고

     

     

    비상발전기 용량 계산 기준

    비상발전기 용량 계산 기준을 정리했습니다. 국내 기준에는 발전기 사용, 시설 및 설치에 관한 내용만 명시되어 있고, 계산식은 명시되지 않은 기준이 있지만, 비상발전기 용량

    engineer-ing.tistory.com

     

     

     

    비상발전기 용량 계산

    비상발전기 용량 계산은 몇 가지 기준들이 있습니다.국내에서는 국토교통부의 설계기준 KDS 31-60-20과 한국산업안전공단(KOSHA)의 E-84-2022에 의한 용량 계산입니다. 한국산업안전보건공단(KOSHA) 비

    engineer-ing.tistory.com