전기/전기기사 실기

[전기기사 실기 계산 09] 변압기의 용량, 2차 전압, 전압변동률, 단락전류 계산 문제

엔지니어관리자 2024. 9. 29. 09:09

전기기사 실기에서 출제되는 계산 문제 중 변압기의 용량, 2차 전압, 전압변동률, 단락전류 관련된 문제를 정리해보려고 합니다.

 

문제는 2008~2022년의 15개년 문제이며, 출제된 횟수를 특수문자 ★ 로 표현하되, 최대 3번까지 적용합니다

 

목차

     

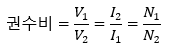
    기본 수식

    단권 변압기의 3상 결선별 자기 용량과 부하 용량의 비

     

    승압된 2차 전압

     

    단락전류

     

    전압변동률

     

    권수비

     

    계산 문제

    ★☆☆

    단권 변압기 3대를 사용한 3Δ결선 승압기에 의해 45 [kVA]인 3상 평형 부하의 전압을 3000 [V]에서 3300 [V]로 승압하는데 필요한 변압기의 총 용량은 얼마인지 표준용량으로 답하시오.

    표준용량을 구하라고 하였으므로,

     

    답 : 5[kVA] 선정

     

    참고
    단권 변압기의 3상 결선별 자기 용량과 부하 용량의 비

     

     

    ★★★

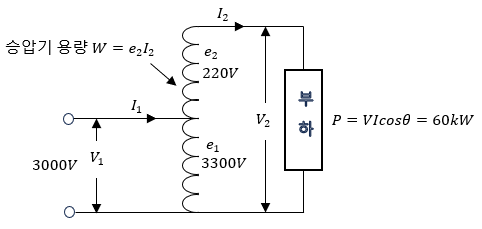
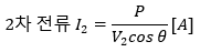
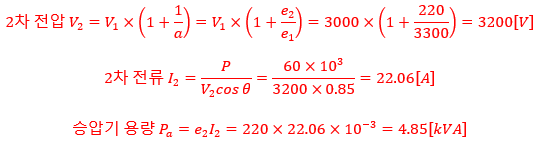
    단자전압 3000[V]인 선로에 전압비가 3300/220 [V]승압기를 접속하여 60[kW], 역률 0.85의 부하에 공급할 때 몇 [kVA]의 승압기를 사용하여야 하는가?

    : 5[kVA] 승압기 선정

     

    ※ 몇 용량의 승압기를 사용하는지 문제가 출제된다면 표준 용량을 답란에 적어야 한다.

    참고


    ※ 3상 교류 회로가 문제로 주어진다면, 전류 값 구할 시 분모자리에 '√3'을 곱해줘야 한다.

     

    참고


     

     

    ★☆☆

    정격 전압 16600[V], 2210[V], 10 [kVA]의의 단상 변압기 2대를 V결선하여 6300 [V]의 3상 전원에 접속하였다. 다음 물음에 답하시오.

        (1) 승압된 전압은 몇 [V]인지 계산하시오

       

        (2) 3V결선 승압기의 결선도를 완성하시오.

     

    참고 : 변압기 2대 일시

    ※ 일반적인 V 결선과 결선법이 다른 승압용 V 결선에 대한 결선법이다.


     

     

    ★☆☆

    단상 변압기가 있다. 전부하에서 2차 측 전압이 115 [V] 일 때, 전압변동률이 2 [%]였다면 1차 측 단자전압은 얼마인지 구하시오. (,변압기 권수비는 20:1이다.)

     

    참고

     

     

    ★☆☆

    500 [kVA]의 변압기에 역률 80 [%]인 부하 500 [kVA]가 접속되어 있다. 지금 변압기에 전력용 콘덴서 150 [kVA]를 설치하여 변압기의 전용량까지 사용하고자 할 경우 증가시킬 수 있는 유효 전력은 몇 [kW]인가? (단, 증가되는 부하의 역률은 1이라고 한다.)

     

    변압기의 전용량(500 [kVA])까지 사용한다고 하였으므로

    증가시킬 수 있는 유효 전력은

     

     

    ★☆☆

    100 [kVA], 6300/210 [V]단상 변압기 2대로 1차 및 2차에 병렬로 접속하였을 때 2차 측에서 단락 시, 전원에 유입되는 단락전류의 값은? (,단상 변압기의 %임피던스는 6 [%]이다.)

     

     

    참고

    단상 단락전류

     

     

    ★☆☆

    66 [kV], 500 [MVA], %임피던스 30 [%]인 발전기에 용량이 600 [MVA], %임피던스 20 [%]인 변압기가 접속되어 있다. 변압기 2차 측 345 [kV]지점에 단락이 일어났을 때 단락 전류는 몇 [A]인가?

     

    참고

     

     

    ★☆☆

    주상 변압기의 고압 측의 사용탭이 6600 [V]인 때에 저압 측의 전압이 95 [V]였다.저압 측의 전압을 약 100 [V]로 유지하기 위해서는 고압 측의 사용탭은 얼마로 하여야 하는가? (, 변압기의 정격전압은 6600/105 [V]이다.)

     

    : 6300 [V]탭 선정

     

    참고

    ※ 1차 탭은 4~6개 정도이며, 2차 탭은 일정하다.



    주상 변압기의 표준 탭
    5700 [V], 6000 [V], 6300 [V], 6600 [V], 6900 [V]