전기기사 실기에서 출제되는 계산 문제 중 저압 관련된 역률 개선, 콘덴서 용량, 전력손실, 고조파 관련된 문제를 정리해보려고 합니다.
문제는 2008~2022년의 15개년 문제이며, 출제된 횟수를 특수문자 ★ 로 표현하되, 최대 3번까지 적용합니다
목차
기본 수식
피상전력, 유효전력, 무효전력

역률

전력손실

역률 개선용 콘덴서 용량

고조파 전류의 크기

계산 문제
★☆☆
전동기 부하를 사용하는 곳의 역률 개선을 위하여 회로에 병렬로 역률 개선용 저압 콘덴서(Y 결선으로 하는)를 설치하여 전동기의 역률을 90 [%]이상으로 유지하려고 한다. 이때 다음 물음에 답하시오.
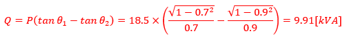
(1) 정격전압 380 [V],정격출력 18.5[kW], 역률 70[%]인 전동기의 역률을 90 [%]로 개선하고자 하는 경우 필요한 3상 콘덴서 용량[kVA]을 구하시오.

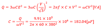
(2) 물음 “(1)”에서 구한 콘덴서의 한 상의 용량[kVA]을 [μF]로 환산한 용량으로 계산하시오. (단, 주파수는 60 [Hz]이다.)

★☆☆
3상 380 [V], 20 [kW],역률 80 [%]인 부하의 역률을 개선하기 위하여 15 [kVA]의 진상 콘덴서를 설치하는 경우 전류의 차(역률 개선 전과 역률 개선 후)는 몇 [A]가 되는가?
(1) 역률 개선 전 전류

(2) 역률 개선 후 전류
먼저 역률을 구한다.


(3) 전류의 차

★★☆
정격 용량 100 [kVA]인 변압기에서 지상 역률 60 [%]의 부하에 100 [kVA]를 공급하고 있다. 역률 90 [%]로 개선하여 변압기의 전용량까지 부하에 공급하고자 한다. 다음 각 물음에 답하시오.
(1) 소요되는 전력용 콘덴서의 용량은 몇 [kVA]인지 계산하시오.

참고
변압기의 전용량까지 부하에 공급하고자 하므로 피상분 Pa를 이용하여 무효전력을 구한 후, 소요되는 콘덴서의 용량을 구한다.
(2) 역률 개선에 따른 유효전력의 증가분은 몇 [kW]인지 계산하시오.

참고
역률 개선 방법
역률은 부하에 의한 지상 무효전력(-jQ) 때문에 저하되므로 부하와 병렬로 역률 개선용 콘덴서(진상 무효전력 +jQ 공급) Qc를 접속한다.
※ 역률 개선 방법은 '전기기사 실기 단답형'에서도 출제된다.
[전기기사 실기] 단답형 총정리_부하설비
전기기사 실기 단답형을 2001~2023년의 23개년 문제를 정리해보려고 합니다. 아래와 같이 임의로 분류하고, 출제된 횟수는 ★ 로 표현하되, 최대 3번까지 적용합니다.전기설비설계 & 도면수변전설
engineer-ing.tistory.com
★☆☆
역률 80 [%], 500 [kVA]의의 부하를 가지는 변압설비에 150 [kVA]의 콘덴서를 설치해서 역률을 개선하는 경우 변압기에 걸리는 부하는 몇 [kVA]인지 계산하시오.

참고
역률 개선 방법
역률은 부하에 의한 지상 무효전력(-jQ) 때문에 저하되므로 부하와 병렬로 역률 개선용 콘덴서(진상 무효전력 +jQ 공급) Qc를 접속한다.
★☆☆
부하의 역률 개선에 대한 다음 각 물음에 답하시오.
(1) 역률을 개선하는 원리를 간단히 설명하시오.
부하에 병렬로 전력용 콘덴서를 설치하여 진상의 무효전력을 공급하여 무효 전력을 감소시켜 역률 개선한다.
(2) 부하 설비의 역률이 저하하는 경우 수용가가 볼 수 있는 손해를 두 가지만 쓰시오.
전력 손실 증가
전압 강하 증가
전기 요금 증가
전원 설비 용량 증가
(3) 어느 공장의 3상 부하가 30 [kW]이고,역률이 65 [%]이다.이것의 역률을 90 [%]로 개선하려면 전력용 콘덴서 몇 [kVA]가 필요한가?

★★★
어느 수용가가 당초 역률(지상) 80 [%]로로 150 [kW]의 부하를 사용하고 있는데, 새로 역률(지상) 60 [%], 100 [kW]의의 부하를 증가하여 사용하게 되었다. 이때 콘덴서로 합성 역률을 90 [%]로 개선하는데 필요한 용량은 몇 [kVA]인가?
150 [kW], 100 [kW]의 각 부하를 아래 그림과 같이 표현하면 쉽게 알 수 있다.



참고
역률 개선용 콘덴서 용량
★☆☆
변압기 용량이 1000 [kVA]에 200 [kW]의 부하와 500 [kVar]부하가 있다. 역률이 0.8인 400 [kW]의 부하를 증설하고, 350 [kVA]의의 커패시터를 병렬로 연결하여 역률을 개선할 때, 다음 물음에 답하시오.
(1) 커패시터 설치 전의 종합 역률을 구하시오.
200 [kW], 400 [kW]의 각 부하를 아래 그림과 같이 표현하면 쉽게 알 수 있다.



(2) 커패시터 설치 후, 부하 200 [kW]를 추가할 때 변압기 1000 [kVA]가 과부하가 되지 않으려면 200 [kW]의 역률은 몇 [%] 이상이어야 하는가?


(3) 부하가 추가되었을 때 종합 역률은 얼마인가?

★☆☆
전용 배전선에서 800 [kW]역률 0.8의 한 부하에 공급할 경우 배전선 전력 손실은 90 [kW]이다. 지금 이 부하와 병렬로 300 [kVA]의 콘덴서를 시설할 때 배전선의 전력 손실은 몇 [kW]인가?
역률을 먼저 계산하자.

전력손실을 계산


※ 전력손실은 '전기기사 실기 단답형'에서도 출제된다.
[전기기사 실기] 단답형 총정리_수변전설비
전기기사 실기 단답형을 2001~2023년의 23개년 문제를 정리해보려고 합니다. 아래와 같이 임의로 분류하고, 출제된 횟수는 ★ 로 표현하되, 최대 3번까지 적용합니다.전기설비설계 & 도면수변전설
engineer-ing.tistory.com
참고
콘덴서 시설 후의 피상 전력
★☆☆
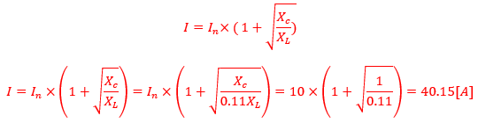
콘덴서 회로에 고조파의 유입으로 인한 사고를 방지하기 위하여 콘덴서 용량의 13 [%]인 직렬 리액터를 설치하고자 한다. 이 경우 투입 시의 전류는 콘덴서 정격 전류(정상 시 전류)의 몇 배의 전류가 흐르게 되는지 구하시오.

★☆☆
정격 출력 1500 [kVA],역률 65 [%]인 전동기 회로에 역률 개선용 콘덴서를 설치하여 역률 96 [%]로 개선하기 위하여 다음 표를 이용하여 콘덴서 용량을 구하시오.
[표] 부하에 대한 콘덴서 용량 산출표[%]
| 구분 | 개선 후의 역률 | |||||||||||||||
| 1.0 | 0.99 | 0.98 | 0.97 | 0.96 | 0.95 | 0.94 | 0.93 | 0.92 | 0.91 | 0.9 | 0.875 | 0.85 | 0.825 | 0.8 | ||
| 개선 전의 역률 |
0.4 | 230 | 216 | 210 | 205 | 201 | 197 | 194 | 190 | 187 | 184 | 182 | 175 | 168 | 161 | 155 |
| 0.425 | 213 | 198 | 192 | 188 | 184 | 180 | 176 | 173 | 170 | 167 | 164 | 157 | 151 | 144 | 138 | |
| 0.45 | 198 | 183 | 177 | 173 | 168 | 165 | 161 | 158 | 155 | 152 | 149 | 143 | 136 | 129 | 123 | |
| 0.475 | 185 | 171 | 165 | 161 | 156 | 153 | 149 | 146 | 143 | 140 | 137 | 130 | 123 | 116 | 110 | |
| 0.5 | 173 | 159 | 153 | 148 | 144 | 140 | 137 | 134 | 130 | 128 | 125 | 118 | 111 | 104 | 93 | |
| 0.525 | 162 | 148 | 142 | 137 | 133 | 129 | 126 | 122 | 119 | 117 | 114 | 107 | 100 | 93 | 87 | |
| 0.55 | 152 | 138 | 132 | 127 | 123 | 119 | 116 | 112 | 109 | 106 | 104 | 97 | 90 | 83 | 77 | |
| 0.575 | 142 | 128 | 122 | 117 | 114 | 110 | 106 | 103 | 99 | 96 | 94 | 87 | 80 | 73 | 67 | |
| 0.6 | 133 | 119 | 113 | 108 | 104 | 101 | 97 | 94 | 91 | 88 | 85 | 78 | 71 | 65 | 58 | |
| 0.625 | 125 | 111 | 105 | 100 | 96 | 92 | 89 | 85 | 82 | 79 | 77 | 70 | 63 | 56 | 50 | |
| 0.65 | 116 | 103 | 97 | 92 | 88 | 84 | 81 | 77 | 74 | 71 | 69 | 62 | 55 | 48 | 42 | |
| 0.675 | 109 | 95 | 89 | 84 | 80 | 76 | 73 | 70 | 66 | 64 | 61 | 54 | 47 | 40 | 34 | |
| 0.7 | 102 | 88 | 81 | 77 | 73 | 69 | 66 | 62 | 59 | 56 | 54 | 46 | 40 | 33 | 27 | |
| 0.725 | 95 | 81 | 75 | 70 | 66 | 62 | 59 | 55 | 52 | 49 | 46 | 39 | 33 | 26 | 20 | |
| 0.75 | 88 | 74 | 67 | 63 | 58 | 55 | 52 | 49 | 45 | 43 | 40 | 33 | 26 | 19 | 13 | |
| 0.775 | 81 | 67 | 61 | 57 | 52 | 49 | 45 | 42 | 39 | 36 | 33 | 26 | 19 | 12 | 6.5 | |
| 0.8 | 75 | 61 | 54 | 50 | 46 | 42 | 39 | 35 | 32 | 29 | 27 | 19 | 13 | 6 | ||
| 0.825 | 69 | 54 | 48 | 44 | 40 | 36 | 32 | 29 | 26 | 23 | 21 | 14 | 7 | |||
| 0.85 | 62 | 48 | 42 | 37 | 33 | 29 | 26 | 22 | 19 | 16 | 14 | 7 | ||||
| 0.875 | 55 | 41 | 35 | 30 | 26 | 23 | 19 | 16 | 13 | 10 | 7 | |||||
| 0.9 | 48 | 34 | 28 | 23 | 19 | 16 | 12 | 9 | 6 | 2.8 | ||||||
표에서 개선 전의 역률 0.65와, 개선 후의 역률 0.96의 교차하는 지점의 계수는 k=0.88이므로

참고
역률 개선용 콘덴서 용량을 표로 구할 때에는 다음 식에서 단위에 주의하여야 한다.
★☆☆
용량이 5000 [kVA]인 수전설비의 수용가에서 5000 [kVA],역률 75 [%](지상)의 부하가 운전 중이다. 다음 각 물음에 답하시오.
(1) 이 수용가에 1000 [kVA]전력용 커패시터를 설치했을 때 개선된 역률[%]을 구하시오.

(2) 1000[kVA] 전력용 커패시터를 설치한 후, 역률 80 [%](지상)의 부하를 추가로 접속하여 운전하려고 한다. 이때 추가할 수 있는 역률 80 [%](지상)의 최대 부하용량[kW]을 구하시오.
추가로 접속하는 부하의 피상전력을 Pa라 할 때

추가할 수 있는 최대 부하용량은

(3) 1000[kVA] 전력용 커패시터를 설치하고, (2)에서 구한 부하를 추가했을 때 합성 역률[%]을 구하시오.

★☆☆
부하 전력이 4000 [kW],역률 80 [%]인 부하에 전력용 콘덴서 1800 [kVA]를 설치하였다.이때 다음 각 물음에 답하시오.
(1) 역률은 몇 [%]로 개선되었는가?

(2) 부하설비의 역률이 90 [%]이하일 경우(즉, 낮은 경우) 수용가 측면에서 어떤 손해가 있는지 3가지만 쓰시오.
전력손실 증가
전압강하 증가
전기요금 증가
전원설비 용량 증가
(3) 전력용 콘덴서와 함께 설치되는 방전 코일과 직렬 리액터의 용도를 간단히 설명하시오.
방전 코일 : 콘덴서에 축적된 잔류전하 방전
직렬 리액터 : 제5고조파 제거
★☆☆
전압 220 [V], 1시간 사용 전력량 40 [kWh],역률 80 [%]인 3상 부하가 있다. 이 부하의 역률을 개선하기 위하여 용량 30 [kVA]의 진상 콘덴서를 설치하는 경우, 개선 후의 무효 전력과 전류는 몇 [A] 감소하였는지 계산하시오.
(1) 개선 후의 무효 전력

(2) 감소된 전류

※ 개선 후의 무효 전력이 0 [kVar]이므로 개선 후의 역률은 1이다.
★☆☆
부하 설비가 100 [kW]이며,뒤진 역률이 85 [%]인 부하를 100 [%]로 개선하기 위한 전력용 콘덴서의 용량은 몇 [kVA]가 필요한지 구하시오.
무효전력을 구하자

역률 100 [%]로 하기 위한 콘덴서 용량은 무효 전력의 크기와 같아야 하므로 Qc=Q=61.97 [kVA]이다.
★☆☆
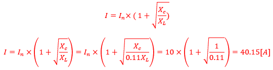
제3고조파의 유입으로 인한 사고를 방지하기 위하여 콘덴서 회로에 콘덴서 용량의 11 [%]인 직렬 리액터를 설치하였다. 이 경우에 콘덴서의 정격 전류(저상 시 전류)가 10 [A]라면 콘덴서 투입 시의 전류는 몇 [A]가 되겠는가?

★☆☆
선간 전압200 [V],역률과 효율이 각각 100 [%]이고,용량200 [kVA]인 부하를 6펄스 3상 UPS로 공급 중일 때, 기본파 전류와 제5고조파 전류를 계산하시오. (단, 제5고조파 저감계수 k5=0.5 이다.)
(1) 기본파 전류

(2) 제5고조파 전류

참고
고조파 전류의 크기
'전기 > 전기기사 실기' 카테고리의 다른 글
| [전기기사 실기 계산 10] 전선 관련 계산 문제 (굵기, 외경, 온도) (0) | 2024.11.18 |
|---|---|
| [전기기사 실기 계산 09] 변압기의 용량, 2차 전압, 전압변동률, 단락전류 계산 문제 (0) | 2024.09.29 |
| [전기기사 실기 계산 07] 송배전선로 관련 계산 문제 (0) | 2024.09.18 |
| [전기기사 실기 계산 06] UPS 축전지 계산 (1) | 2024.08.23 |
| [전기기사 실기 계산 05] 발전기 용량, 발전기 효율 계산 (1) | 2024.07.21 |





