전기/전기기사 실기

[전기기사 실기 계산 07] 송배전선로 관련 계산 문제

엔지니어관리자 2024. 9. 18. 19:46

전기기사 실기에서 출제되는 계산 문제 중 송배전선로 관련된 문제를 정리해보려고 합니다.

 

문제는 2008~2022년의 15개년 문제이며, 출제된 횟수를 특수문자 ★ 로 표현하되, 최대 3번까지 적용합니다.

 

 

 

목차

     

    기본 수식

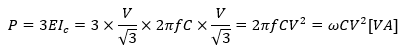
    3선에 충전되는 충전 용량

    정전 유도 전압

    중성점 잔류 전압

     

    소호리액터 용량

     

     

    계산 문제

    22900 [V], 60 [Hz], 1회선의 3상 지중 송전선의 무부하 충전용량[kVA]? (, 송전선의 길이는 50 [km], 1선의 1 [km] 당 정전 용량은 0.01 [μF]이다.)

     

     

     

    전압 22900 [V], 주파수 60 [Hz], 선로 길이 7 [km] 1회선의 3상 지중 송전선로가 있다. 이 지중 전선로의 3상 무부하 충전 전류 및 충전 용량을 구하시오. (, 케이블의 1 선상 작용 정전 용량은 0.4 [uF/km]라고 한다.

     

        (1) 충전 전류

     

        (2) 충전 용량

     

     

    참고 : 선로의 충전 전류 및 충전 용량
    1 선당 충전 전류
    3선에 충전되는 충전 용량
    참고 2

     

     

    154 [kV] 2회선 송전선이 있다. 1회선만이 운전 중일 때 휴전 회선에 대한 정전 유도 전압은?

    (, 송전 중의 회선과 휴전 중의 회선과의 정전용량은 Ca=0.0001 [μF], Cb=0.0006 [μF], Cc=0.0004 [μF]이고, 휴전선의 1선 대지 정전용량은 Cs=0.0052 [μF]이다.)

     

     

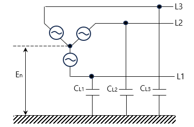
    154 [kV]의 송전선이 그림과 같이 연가되어 있을 경우 중성점과 대지 간에 나타나는 잔류 전압을 구하시오. (, 1 [km] 당의 대지 정전 용량은 맨 윗선 0.004 [uF], 가운뎃선 0.0045 [uF], 맨 아랫선 0.005 [uF]라고 하고, 다른 선로 정수는 무시한다.)

     

     

     

    참고
    중성점 잔류 전압의 정의 : 보통의 운전 상태에서 중성점을 접지하지 않을 경우 중성점에 나타나는 전압



    · 중성점 잔류 전압 발생 원인
        - 송전선의 3상 각 상의 대지 정전 용량이 불균등( 할 경우 발생
        - 차단기의 개폐가 동시에 이루어지지 않음에 따른 3상 간의 불평형
        - 단선 사고 등 계통의 각종 사고에 의해 발생

    · 중성점 잔류 전압의 크기

     

     

    154 [kV], 60 [Hz],선로의 길이 200 [kW]인 3상 송전선에 설치한 소호리액터의 공진탭의 용량은 몇 [kVA]인가? (, 1 선당 대지 정전용량은 0.0043 [uF/km]이다.)

     

    참고 : 소호리액터용량

     

     

    그림과 같은 3상 배전선에서 변전소(A)의 전압은 3300 [V], 중간(B점)지점의 부하는 50 [A], 역률 0.8(지상), 말단(C)의 부하는 50 [A],역률 0.8이고, AB사이의 길이는 2 [km], BC 사이의 길이는 4 [km]이며, 선로의 [km] 당 임피던스는 저항 0.9 [Ω],Ω], 리액턴스 0.4 [Ω]이라고Ω] 할 때 다음 각 물음에 답하시오.

     

        (1) 이 경우의 B점과 C점의 전압은 몇  [V]인가?

            ① B점의 전압

     

            C점의 전압

     

     

        (2) C점에 전력용 콘덴서를 설치하여 진상 전류를 40 [A]를 흘릴 때 B점과 C점의 전압은 각각 몇 [V]인가?

            ① B점의 전압

     

            C점의 전압

     

        (3) 전력용 콘덴서를 설치하기 전과 후의 선로의 전력 손실[kW]을 구하시오.

     

            ① 전력용 콘덴서 설치 전

     

     

            ② C점의 전압

    진상이므로 +90° 해준다.

     

    참고
    전력용 콘덴서를 설치하여 진상 전류를 흘려주면 무효 전류가 감소한다.

    3상 배전선로의 전력 손실


    3상 선로에서 발생하는 전압강하


     

     

     

    공칭 전압이 140 [kV]인 송전 선로가 있다. 이 선로의 4 단자 정수가 A=D=0.9, B=j70.7, C=j0.53x10^3이라고 한다. 무부하 송전단에 154 [kV]를 인가하였을 때 다음을 구하시오.

        (1) 수전단 전압[kV] 및 송전단 전류[A]를 구하시오.

        (2) 수전단의 전압을 140 [kV]로 유지할 경우 수전단에서 공급하여야 할 무효 전력 Qc [kVar]을 구하시오.