전기/전기기사 실기

[전기기사 실기 계산 10] 전선 관련 계산 문제 (굵기, 외경, 온도)

엔지니어관리자 2024. 11. 18. 19:23

전기기사 실기에서 출제되는 계산 문제 중 전선의 굵기, 외경, 온도에 관련된 문제를 정리해보려고 합니다.

 

문제는 2008~2022년의 15개년 문제이며, 출제된 횟수를 특수문자 ★ 로 표현하되, 최대 3번까지 적용합니다

 

 

목차

     

    기본수식

    전선의 단면적 계산 공식

     

     

    계산 문제

    ★☆☆

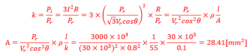
    선로의 길이가 30 [km]인 3상 3선식 2회선 송전 선로가 있다. 수전단에 30 [kV], 6000 [kW],역률 0.83상 부하에 공급할 경우 송전 손실을 10 [%]이하로 하기 위해서는 전선의 굵기를 얼마로 하여야 하는가? (,사용 전선의 고유 저항은 1/55 [Ω·mm2/m]로Ω·mm2/m] 한다.)

     

    [전선 굵기[mm2]]

    2.5 4 6 10 16 25 35 50 70 90

     

     

    ∴ 35[mm2] 선정

     

     

    ★☆☆

    분전반에서 20[m]의 거리에 있는 단상 2선식, 부하 전류5 [A]인 부하에 배선 설계 전압강하를0.5 [V] 이하로 하고자 한다. 필요한 전선의 굵기를 구하시오. (, 전선의 도체는 구리이다.)

    10[mm2] 선정

     

    참고
    문제에서 필요한 전선의 굵기를 구하라고 하였으므로 전선의 실제 규격으로 답해야 한다.
    전선 규격[mm2] : 1.5, 2.5, 4, 6, 10, 16, 25, 35, 50, 70, 95, 120, 150, 185, 240, 300


    전선의 단면적 계산 공식

     

     

     

    ★☆☆

    분전반에서 50[m]의 거리에380 [V], 4 3상 유도 전동기 37[kW]를 설치하였다. 전압 강하를5 [V]이하로 하기 위해서 전선의 굵기[mm2]는 얼마로 선정하는 것이 적당한가? (, 전압 강하 계수는 1.1, 전동기의 전부하 전류는 75[A], 3 3선식 회로이다.)

     

    35[mm2] 선정

     

     

    ★☆☆

    380/220[V] 34선식 선로에서 180 [m]떨어진 곳에 다음 표와 같이 부하가 연결되어 있다. 간선의 최소 허용전류와 굵기를 구하시오. (, 전압강하는 3 [%]로 한다.)

    종류 출력 수량 역률X효율 수용률
    급수펌프 380[V]/7.5[kW] 4 0.7 0.7
    소방펌프 380[V]/20[kW] 2 0.7 0.7
    전열기 220[V]/10[kW] 3(각 상 평형배치) 1 0.5

     

    KS C IEC 전선규격

    전선의 공칭 단면적[mm2]
    1.5 2.5 4
    6 10 16
    25 35 50
    70 95 120
    150 185 240
    300 400 500
    630    

     

     

    (1) 간선의 최소 허용전류를 구하시오.

     

    ∴ 129.08[A]

     

    (2)   간선의 굵기를 구하시오.

    70 [mm2]로 선정

     

    참고
    380 [V]는 선간전압으로 적용

     

     

    ★☆☆

    송전단 전압이3300 [V]인 변전소로부터3 [km]떨어진 곳에 있는 역률 0.8(지상) 1000 [kW]의의 3상 동력부하에 대하여 지중 송전선을 설치하여 전력을 공급하고자 한다. 케이블의 허용전류(또한 안전전류) 범위 내에서 수전단 전압이3150 [V]로 유지되도록 심선의 굵기를 결정하시오. (, 도체(동선)의 고유저항은 1.818 x 10^-2 [Ω·mm2/m]로 하고, 케이블의 정전용량 및 리액턴스 등은 무시한다. 심선의 굵기는 70, 95, 120, 150, 185  등이다.)

     

     

    다른 문제 풀이

     

     

    ★☆☆

    소선의 직경이3.2 [mm]인가닥의 연선을 사용할 경우 외경은 몇 [mm]인가?

     

     

    ★☆☆

    연동선을 사용한 코일의 저항이 0 [℃]에서℃] 4000 [Ω]이었다.Ω]이 코일에 전류를 흘렸더니 그 온도가 상승하여 코일의 저항이 4500 [Ω]으로Ω] 되었다고 한다. 이때 연동선의 온도를 구하시오.

     

    참고




    온도가 커지면 안에 있는 자유전자가 활동 심해진다. → 분자들이 운동량 증가 → 전류가 잘 흐르지 못한다.