전기/전기기사 실기

[전기기사 실기 계산 11] 배전선로의 전압강하, 전압강하율, 전압변동률, 전력 손실, 전력 손실률 계산 문제

엔지니어관리자 2025. 1. 12. 21:23

전기기사 실기에서 출제되는 계산 문제 중 배전선로의 전압강하, 전압강하율, 전압변동률, 전력손실, 전력손실률 관련된 문제를 정리해보려고 합니다.

 

문제는 2008~2022년의 15개년 문제이며, 출제된 횟수를 특수문자 ★ 로 표현하되, 최대 3번까지 적용합니다

 

 

목차

     

    기본수식

    3상 선로 전압강하

     

    전압강하율

    수전단 전압을 기준으로 하였을 때 선로에서 발생한 전압강하의 백분율

     

    전압변동률

    부하 측(수전단 측)의 전압은 부하의 크기에 따라서 달라지는데, 부하의 접속 상태에 따른 부하측 전압변동의 백분율

     

    선로의 전력 손실

     

     

     

     

     

    계산 문제

    ★★★

    3상 배전 선로의 말단에 늦은 역률 80[%]인 평형 3상의 집중 부하가 있다. 변전소 인출구의 전압이 6600[V]인 경우 부하의 단자 전압을 6000[V] 이하로 떨어뜨리지 않으려면 부하 전력[kW]은 얼마인가? (, 전선 1선의 저항은 1.4[Ω], 리액턴스 1.8[Ω]으로 하고 그 이외의 선로 정수는 무시한다.)

    참고
    3상 선로에서의 전압강하


     

     

     

    ★☆☆

    33선식 송전선에서 수전단의 선간 전압이 30[kV], 부하 역률이 0.8인 경우 전압강하율이 10[%]라 하면 이 송전선은 몇 [kW]까지 수전할 수 있는가? (, 전선 1선의 저항을 15[Ω], 리액턴스는 20[Ω]이라 하고, 기타의 선로 정수는 무시하는 것으로 한다.

    참고
    3상 선로에서 전압강하

    전압강하율 : 수전단 전압을 기준으로 하였을 때 선로에서 발생한 전압강하의 백분율
    3상 3선식 기준에서의 전압강하율은 다음과 같다.

     

     

     

    ★☆☆

    33선식 배전선로에 역률 0.8, 출력 180[kW]3상 평형 유도 부하가 접속되어 있다. 부하단의 수전 전압이 6000[V], 배전선 1조의 저항이 6[Ω], 리액턴스가 4[Ω]라고 하면 송전단 전압은 몇 [V]인지 계산하시오.

    풀이 1>

    풀이 2>

    참고
    3상 배전선로의 전압강하

     

     

     

    ★☆☆

    33선식 배전 선로 1선당 저항이 7.78[Ω], 리액턴스가 11.63[Ω]이고 수전단 전압이 60[kV], 부하 전류가 200[A], 역률 0.8(지상)3상 평형 부하가 접속되어 있을 경우 다음 물음에 답하시오.

    (1)   송전단 전압을 구하시오.

    (2)   전압 강하율을 구하시오.

    참고
    전압강하

     

     

     

    ★☆☆

    수전 전압이 6000[V]2[km] 33선식 선로에 1000[kW](늦은 역률 0.8) 부하가 연결되어 있다고 한다. 다음 물음에 답하시오. (, 1선당 저항은 0.3[Ω/km], 1선당 리액턴스는 0.4[Ω/km]이다.)

    (1)   선로의 전압 강하를 구하시오.

    (2)   선로의 전압 강하율을 구하시오.

    (3)   선로의 전력 손실을 구하시오.

    참고

     

     

     

    ★☆☆

    3상 송전선로 5[km] 지점에 1000[kW], 역률 0.8인 부하가 있다. 전력용 콘덴서를 설치하여 역률을 95[%]로 개선하였다. 다음의 경우에 역률 개선 전의 몇 [%]인지 구하시오. (, 1상당 임피던스는 0.3+j0.4[Ω/km], 부하의 전압은 6000[V]로 일정하다.)

    (1)   전압강하

    (2)   전력손실

     

    개선 전 역률에 대한 개선 후 역률의 비율로 계산하게 된다면,

    또는 개선 전과 개선 후의 전력손실을 구해도 된다.

     

     

     

    [전기기사 실기 계산 08] 저압 관련 역률 개선, 콘덴서 용량, 전력손실, 고조파 계산 문제

     

    [전기기사 실기 계산 08] 저압 관련 역률 개선, 콘덴서 용량, 전력손실, 고조파 계산 문제

    전기기사 실기에서 출제되는 계산 문제 중 축전지 관련된 문제를 정리해보려고 합니다. 문제는 2008~2022년의 15개년 문제이며, 출제된 횟수를 특수문자 ★ 로 표현하되, 최대 3번까지 적용합니다

    engineer-ing.tistory.com

     

    참고
    3상 선로의 전압강하

     

     

    ★☆☆

    송전단 전압 66[kV], 수전단 전압 61[kV]인 송전선로에서 수전단의 부하를 끊은 경우의 수전단 전압이 63[kV]라 할 때 다음 각 물음에 답하시오.

    (1)   전압강하율을 계산하시오.

    (2)   전압변동률을 계산하시오.

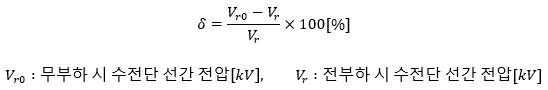
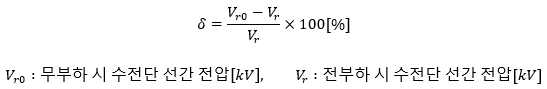
    참고
    전압강하율 : 수전단 전압을 기준으로 하였을 때 선로에서 발생한 전압강하의 백분율


    전압변동률 : 부하 측(수전단 측)의 전압은 부하의 크기에 따라서 달라지는데, 부하의 접속 상태에 따른 부하측 전압변동의 백분율

     

     

    ★☆☆

    길이 2[km]3상 배전선에서 전선의 저항이 0.3[Ω/km], 리액턴스 0.4[Ω/km]라고 한다. 지금 송전단 전압 VS3450[V]로 하고 송전단에서 거리 1[km]인 점에 I1=100[A], 역률 0.8(지상), 1.5[km]인 지점에 I2=100[A], 역률 0.6(지상), 종단점에 I3=100[A] 역류 0(진상)3개의 부하가 있다면 종단에서의 선간 전압은 몇 [V]가 되는가?

    풀이 1>

     

    송전단에서 1.5[km]지점의 전압

     

    종단(송전단에서 2[km] 지점)에서의 전압

     

    참고
    3상 배전선로의 전압 강하

     

    풀이 2>

     

     

     

    ★☆☆

    다음 그림과 같은 33선식 배전선로가 있다. 각 물음에 답하시오. (, 전선 1가닥의 저항은 0.5[Ω/km]라고 한다.)

     

    (1)   급전선에 흐르는 전류는 몇 [A]인가?

    (2)   전체 선로 손실은 몇 [W]인가?

    참고

    부하마다 역률이 모두 다를 경우에는 전류를 계산할 때 유효 전류(Icosθ)와 무효전류(Isinθ)로 나누어 계산하여야 한다.
    주어진 부하의 역률은 문제에서 특별하게 언급하지 않더라도 지상 역률로 생각하여 풀어야 한다. 즉,

     

     

    ★☆☆

    수전단 전압이 3,000[V] 3 3선식 배전 선로의 수전단에 역률 0.8(지상) 520[kW]의 부하가 접속되어 있다. 이 부하에 동일 역률의 부하 80[kW]를 추가하여 600[kW]로 증가시키되, 부하와 병렬로 전력용 콘덴서를 설치하여 수전단 전압 및 선로 전류를 일정하게 불변으로 유지하고자 할 때, 다음 각 물음에 답하시오.(, 전선의 1선당 저항 및 리액턴스는 각각 1.78[Ω] 1.17[Ω]이다.)

    (1)   이 경우에 필요한 전력용 콘덴서 용량은 몇 [kVA]인가?

     

    (2)   부하 증가 전의 송전단 전압은 몇 [V]인가?

     

    (3)   부하 증가 후의 송전단 전압은 몇 [V]인가?

     

     

    ★☆☆

    부하전력 및 역률을 일정하게 유지하고 전압을 2배로 승압하면 전압강하, 전압강하율, 선로손실 및 선로 손실률은 승압 전과 비교하여 각각 어떻게 되는가?

    (1)   전압강하

    (2)   전압강하율

    (3)   선로손실

    (4)   선로손실률


    참고
    승압 효과
    공급능력 확대
    공급전력 증대
    전력손실 감소
    전압강하 및 전압강하율 감소
    고압 배전선 연장의 감소
    대용량 전기기기 사용이 용이


    승압 관련 공식 정리