신재생에너지발전설비기사(태양광) 실기에서 출제되는 계산 문제 중 태양전기, 인버터, 남중고도, 단위변환 등 관련된 문제를 정리해보려고 합니다.
문제는 2013~2022년의 10개년 문제이며, 출제된 횟수를 특수문자 ★ 로 표현하되, 최대 3번까지 적용합니다.
목차
기본수식
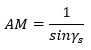
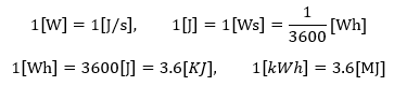
AM(Air Mass)

남중고도
동지 시 남중고도 : 90˚ - Φ – 23.5˚
하지 시 남중고도 : 90˚ - Φ + 23.5˚
춘•추분 남중고도 : 90˚ - Φ – 23.5˚
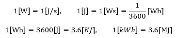
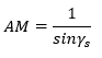
단위변환

지진응답계수

충진율(FF : Fill Factor)

변환효율

계산문제
★☆☆
태양이 대지와 수직으로 있을 때의 AM(Air Mass)의 값은?

참고
AM0 : 대기권 밖
AM1 : 태양빛이 수직으로 비추는 상태
AM1.5 : 일반적으로 지구상에 비추는 스펙트럼
★☆☆
위도가 36.5°이다. 이 경우 하지 시 태양의 남중고도(각)를 구하시오.

참고
남중고도
동지 시 남중고도 : 90˚ - Φ – 23.5˚
하지 시 남중고도 : 90˚ - Φ + 23.5˚
춘•추분 남중고도 : 90˚ - Φ – 23.5˚
★★☆
위도가 36.5°일 때 태양의 계절별 남중 고도각을 각각 계산하시오.
(1) 춘분, 추분 시 남중 고도 각은?

(2) 하지 시 남중 고도 각은?

(3) 동지 시 남중 고도 각은?

★☆☆
면적이 400[cm2]이고 변환효율이 15[%]인 태양전지에 AM(대기질량) 1.5의 빛을 입사시킬 경우에 생산되는 전력은 몇 [W]인지 구하시오. (단, AM이 1.5일 때 단위면적에 입사되는 빛의 시간당 에너지는 1000[W/m2]이다.)

참고
★☆☆
연간 일사량이 4834200[MJ]일 경우 이를 [kWh/m2/day]로 변환하면 얼마인가?

참고
★★☆
일사량이 12[MH/m2]인 경우 이를 [kWh/m2]로 환산하시오.

★☆☆
태양광 발전모듈에서 반응수정 계수는 1.0, 중요도 계수는 1.4이다. 가속도 계수가 0.2인 경우 지진 응답계수를 구하시오.

참고
★★☆
태양전지의 전압 전류 특성은 다음 그림과 같다. 이 태양전지의 충진율(Fill Factor)은 얼마인가?


참고
충진율(FF : Fill Factor)
- 태양전지 모듈의 품질을 나타냄
- 결정질 태양전지의 경우 약 0.75 ~ 0.85
비정질 태양전지의 경우 약 0.5 ~ 0.7
★☆☆
다음 태양전지모듈의 곡선인자(충진율, Fill Factor)을 구하시오.


참고
★☆☆
다음과 같은 특성을 가지는 태양전지 모듈의 기온이 40[℃]일 때 개방전압 를 구하시오.


참고
★★★
주변온도 35[℃]에서 다음 태양전지모듈 특성에 대한 Voc, Vmpp를 각각 구하시오.
(단, 표준일사강도는 1000[W/m2]이다.
NOTC를 적용한다.
소수점 두 번째 자리까지 계산한다.)


★★☆
태양광발전 모듈의 광 변환효율 공식을 쓰고 설명 하시오.


설명 : 태양전지의 광 변환효율은 태양전지에 입사되는 태양에너지를 전기에너지로 변화되는 효율을 나타낸다.
★☆☆
태양전지 모듈 최대출력이 250[W], 모듈치수가 1[m] x 1.7[m]일 때 STC 조건에서 이 모듈의 변환 효율은 몇 [%]인가?

★☆☆
다음 조건의 태양광발전 모듈의 변환효율(%)을 구하시오.
[조건]


참고
★★★
다음 모듈에 대한 태양전지모듈 변환효율을 구하시오.


★★☆
다음과 같은 조건에 만족하는 태양전지의 출력[W]을 구하시오.
- 모듈 면적 : 400[cm2]
- 변환효율 : 15[%]
- 측정 일사량 : 1000[W/m2]

★★★
최대전력점(Maximum Power Point)에서의 전압이 0.5[V], 전류가 3[A]인 태양전지 24개를 병렬로 연결하여 태양광모듈을 제작하였다. MPP(최대전력점)에서 이 모듈의 전압과 전류[A]을 구하시오.
전압 : 0.5[V]
전류 : 24[EA] x 3[A] = 72[A]
참고
태양전지 하나의 전압은 0.5[V]이고 병렬로 연결할 경우 양극의 전압은 0.5[V]이다.
★★★
다음은 인버터 출력전력별 효율 측정값이다. 이를 이용하여 출력전력별 Euro효율을 구하여 총 Euro 효율을 구하시오.
(1) 출력전력별 Euro 효율 n[%]
| 츨력전력 (%) | 효율 측정값 | 출력 전력별 Euro 효율 |
| 5 | 98.25 | 98.25 x 0.03 = 2.95 |
| 10 | 98.68 | 98.68 x 0.06 = 5.92 |
| 20 | 98.51 | 98.51 x 0.13 = 12.81 |
| 30 | 98.33 | 98.33 x 0.10 = 9.83 |
| 50 | 97.63 | 97.63 x 0.48 = 46.86 |
| 100 | 95.82 | 95.82 x 0.20 = 19.16 |
(2) 총 Euro 효율
2.95 + 5.92 + 12.81 + 9.83 + 46.86 + 19.16 = 97.53[%]
그 외 계산문제
[신재생에너지발전설비기사(태양광) 실기 계산 01] 시공 관련 계산 문제
[신재생에너지발전설비기사(태양광) 실기 계산 01] 시공 관련 계산 문제
신재생에너지발전설비기사(태양광) 실기에서 출제되는 계산 문제 중 시공 관련된 문제를 정리해보려고 합니다. 문제는 2013~2022년의 10개년 문제이며, 출제된 횟수를 특수문자 ★ 로 표현하되,
engineer-ing.tistory.com
[신재생에너지발전설비기사(태양광) 실기 계산 02] 태양광발전의 발전량, 발전원가, 판매수익, 경제성검토 계산
[신재생에너지발전설비기사(태양광) 실기 계산 02] 태양광발전의 발전량, 발전원가, 판매수익, 경
신재생에너지발전설비기사(태양광) 실기에서 출제되는 계산 문제 중 태양광발전의 발전량, 발전원가, 판매수익, 경제성 검토 등 관련된 문제를 정리해보려고 합니다. 문제는 2013~2022년의 10개년
engineer-ing.tistory.com
[신재생에너지발전설비기사(태양광) 실기 계산 04] 태양광 직병렬 계산 문제
[신재생에너지발전설비기사(태양광) 실기 계산 04] 태양광 직병렬 계산 문제
신재생에너지발전설비기사(태양광) 실기에서 출제되는 계산 문제 중 시공 관련된 문제를 정리해보려고 합니다. 문제는 2013~2022년의 10개년 문제이며, 출제된 횟수를 특수문자 ★ 로 표현하되,
engineer-ing.tistory.com
[신재생에너지발전설비기사(태양광) 실기 05] 어레이 이격거리 계산 문제
[신재생에너지발전설비기사(태양광) 실기 05] 어레이 이격거리 계산 문제
신재생에너지발전설비기사(태양광) 실기에서 출제되는 계산 문제 중 어레이 이격거리 관련된 문제를 정리해보려고 합니다. 문제는 2013~2022년의 10개년 문제이며, 출제된 횟수를 특수문자 ★ 로
engineer-ing.tistory.com
[신재생에너지발전설비기사(태양광) 실기 06] 전기 관련 계산 문제
[신재생에너지발전설비기사(태양광) 실기 06] 전기 관련 계산 문제
신재생에너지발전설비기사(태양광) 실기에서 출제되는 계산 문제 중 전기 자격증에 출제 관련된 문제를 정리해보려고 합니다. 문제는 2013~2022년의 10개년 문제이며, 출제된 횟수를 특수문자 ★
engineer-ing.tistory.com
'에너지 > 신재생에너지발전설비기사(태양광) 실기' 카테고리의 다른 글
| [신재생에너지발전설비기사(태양광) 실기 05] 어레이 이격거리 계산 문제 (0) | 2024.12.22 |
|---|---|
| [신재생에너지발전설비기사(태양광) 실기 계산 04] 태양광 직병렬 계산 문제 (0) | 2024.12.19 |
| [신재생에너지발전설비기사(태양광) 실기 계산 02] 태양광발전의 발전량, 발전원가, 판매수익, 경제성검토 계산 (2) | 2024.12.13 |
| [신재생에너지발전설비기사(태양광) 실기 계산 01] 시공 관련 계산 문제 (4) | 2024.11.28 |
| [신재생에너지발전설비기사(태양광) 실기] 단답형 총정리_유지관리, 시험, 측정 (4) | 2024.11.12 |








