에너지/신재생에너지발전설비기사(태양광) 실기

[신재생에너지발전설비기사(태양광) 실기 계산 02] 태양광발전의 발전량, 발전원가, 판매수익, 경제성검토 계산

엔지니어관리자 2024. 12. 13. 09:38

 

신재생에너지발전설비기사(태양광) 실기에서 출제되는 계산 문제 중 태양광발전의 발전량, 발전원가, 판매수익, 경제성 검토 등 관련된 문제를 정리해보려고 합니다.

 

문제는 2013~2022년의 10개년 문제이며, 출제된 횟수를 특수문자 ★ 로 표현하되, 최대 3번까지 적용합니다

 

목차

     

    기본수식

    연간 전력판매액

     

    1차년도 전력판매수익

     

    가중치

    일반부지에 설치하는 경우 태양광에너지 가중치 선정방법

     

    유지 등의 수면에 부유하여 설치하는 경우

     

     

    가중치

     

     

    순현재가치(NPV) 및 비용편익비(B/C Ratio)

     

    변환효율

     

     

    계산문제

    ★☆☆

    100 [kWp] 태양광 발전설비가 경사각 30°로 설치되어 있는 경우 연평균 일 발전시간 [kWh/kWp/day]과 연 총발전량을 구하시오. (, 수평면 월별 일사량은 아래 표와 같고 발전효율[PR, Performance Ratio]은 85 [%]이며, 경사각 30°의 일사량은 수평면 보다 연평균 10 [%] 증가한다.)

    구분 1 2 3 4 5 6 7 8 9 10 11 12
    수평면 일사량
    (kWh/m2)
    85 95 130 150 160 150 135 140 120 110 85 70

     

    (1)   연 평균 일 발전시간[kWh/kWp/day]

    (2)   연 총 발전량

     

     

    ★☆☆

    태양광발전소의 연간 발전전력량이 111,000 [kWh] 일 때 연간 전력판매액을 구하시오. (, 연평균 계통한계가격(SMP)은 150 [원/kWh], 공급인증서가격(REC)은 140 원/kWh], 가중치 1.5를 적용한다.)

     

     

    ★☆☆

    다음과 같은 조건으로 일반부지에 설치되는 태양광발전설비의 1차 연도 전력판매수익 []?

    (, 태양전지모듈 경년변화율은 고려하지 않는다.

          시스템 이용률을 이용하여 계산하시오.

          가중치는 소수점 넷째 자리에서 절사 한다.

    시설용량 270 [kWp] SMP 150 []
    발전시간 3.36 [h/day] REC 90 []

     

     

     

    ★★★

    다음과 같은 조건에서 수상 태양광발전설비의 1차 연도 전력판매수익[]을 구하시오. (, 태양전지모듈 경년변화율은 고려하지 않는다.)

    소내전력비율 1.5% 발전방식 수상태양광발전
    시설용량 150[kWp] SMP 130[/kWh]
    발전시간 3.3[h/day] REC 120[/kWh]

     

    (1)   시스템 이용률을 구하시오.

    (2)   연간발전량을 구하시오.

    연간발전량 = 150 [kWp] x 24 x 365 x 0.1375 = 180,675 [kWh/년]

     

    (3)   연간 소내전력을 구하시오.

    소내전력 = 180,675 [kWh/년]년 x 0.015 = 2,710 [kWh/년]

     

    (4)   전력판매단가를 구하시오.

     

    (5)   전력판매수익을 구하시오.

    전력판매수익 = (180,675 [kWh/년]년 – 2,710 [kWh/년])년 x 313 [원/kWh] 원 = 55,703,045 [원]

     

    참고

     

     

    ★☆☆

    다음과 같은 조건에서 태양광발전설비의 1차 연도 전력판매수익을 구하기 위한 것이다. 다음 물음에 답하시오.

    (,      태양전지모듈 경년변화율은 고려하지 않는다.

                시스템 이용률을 이용하여 계산할 것

                전력판매단가의 소수점은 절사 한다.)

    소내전력비율 1.0[%] 발전방식 수상
    시설용량 500[kWp] SMP 100[/kWh]
    발전시간 3.6[h] REC 90[/kWh]

     

    (1)     시스템 이용률을 구하시오

    (2)     전력 판매 단가를 구하시오

     

    (3)     1차년도 전력판매수익을 구하시오

    연간발전량 = 500 [kWp] x 24 x 365 x 0.15 = 657,000 [kWh/년]

    소내전력 = 657,000 [kWh/년]년 x 0.01 = 6,570 [kWh/년]

    전력판매수익 = (657,000 [kWh/년]년 – 6,570 [kWh/년])년 x 229 [원/kWh] 원 = 148,948,470 [원]

     

    참고

    전력판매수익 = (연간발전량 – 소내전력) x 전력판매단가

    연간 발전량은 평균 일간 발전량에 태양광발전설비 용량을 적용하고 이를 다시 1년간 발전량으로 계산하여 얻을 수 있다. 발전시간 3.6은 하루 동안의 시스템 이용률을 적용한 계산이 일치하여야 한다.
    ①    연간발전량 = 500 [kWp] x 365 x 3.6(발전시간) = 657000 [kWh/년]
    ②    연간발전량 = 500 [kWp] x 365 x 0.15(시스템 이용률) x 24 = 657000 [kWh/년]
    그래서 ①, ② 두 식은 동일하다.

     

     

    ★☆☆

    다음과 같은 조건에서 태양광발전설비의 1차 연도 전력판매수익[]을 구하시오.

    (,      태양전지모듈 경년변화율은 고려하지 않는다.

                시스템 이용률을 이용하여 계산하시오.

                전력판매단가의 소수점은 절사 한다.)

    소내전력비율 1[%] 발전방식 수상태양광발전
    시설용량 200[kWp] SMP 170[]
    발전시간 3.5[h/day] REC 150[]

     

     

    연간발전량 = 200 [kWp] x 24 x 365 x 0.1458 = 255,442 [kWh/년]

    소내전력 = 255,442 [kWh/년]년 x 0.01 = 2,554 [kWh/년]

    전력판매수익 = (255,442 [kWh/년]년 – 2,554 [kWh/년])년 x 394 [원/kWh] 원 = 99,637,872 [원]

     

     

    ★☆☆

    다음과 같은 조건에서 태양광발전설비의 1차 연도 전력판매수익을 구하기 위한 것이다. 다음 물음에 답하시오.

    (,      태양전지모듈 경년변화율은 고려하지 않는다.

                시스템 이용률을 이용하여 계산하시오.)

    소내전력비율 1.0% 발전방식 일반부지
    시설용량 120[kWp] SMP 100[]
    발전시간 3.3[h/day] REC 90[]

     

    (1)     시스템 이용률을 구하시오.

     

    (2)     REC 가중치와 판매 단가를 구하시오. (소수점 두 번째 자리에서 절사)

     

    (3)     연간 발전량을 구하시오.

    연간발전량 = 120 [kWp] x 24 x 365 x 0.1375 = 144,540 [kWh/년]

     

    (4)     연간 전력 판매 수익을 구하시오.

    소내전력 = 144,540 [kWh/년]년 x 0.01 = 1,445.4 [kWh/년]

    전력판매수익 = (144,540 [kWh/년]년 – 1,445.4 [kWh/년])년 x 204.4 [원/kWh] = 29,248,536.24 [원]

     

     

    참고


    전력판매수익 = (연간발전량 – 소내전력) x 전력판매단가

     

     

    ★★★

    150 [kWp] 태양광 발전설비가 경사각 28°로 설치되어 있을 경우 다음 물음에 답하시오. (, 수평면 월별 일사량은 아래 표와 같고 발전효율[PR, Performance Ratio] 82 [%]이며, 경사각 28°의 일사량은 수평면 보다 연평균 6.5 [%] 증가한다.)

    구분 1 2 3 4 5 6 7 8 9 10 11 12
    수평면일사량[kWh/m2] 75 85 120 140 150 140 120 130 120 110 83 75

     

    (1)     연평균 일 발전시간[kWh/kWp/day]을 구하시오.

     

    (2)     연총발전량[MWh]을 구하시오.

    150 [kWp] x 3.23 [kWh/kWp/day] x 365 [day] = 176,842.5 [kWh] = 176.8 [MWh]

     

    (3)     시스템 이용률 구하시오.

     

    (4)     1차 연도 전력판매 수익[백만 원 단위로 표시]을 구하시오. (, REC : 150 SMP : 100 원이고 일반부지이다.)

     

    ★☆☆

    다음과 같은 조건에서 태양광발전설비의 1차 연도 전력판매수익을 구하기 위한 것이다. 다음 물음에 답하시오.

    (, 소수점 세 번째 자리 이하 절사

           시스템 이용률을 이용하여 계산하시오.)

    시설용량 200 [kWp] 발전방식 수상 태양광 발전
    소내전력 비율 1 [%] SMP 170 [/kWh]
    발전시간 3.5 [h/day] REC 150 [/kWh]

     

    (1)     발전부지의 REC 가중치를 구하시오.(소수점 네 번째 자리 이하 절사)

     

    (2)     시스템 이용률을 구하시오.

     

    (3)     연간 발전량을 구하시오.

    200 [kWp] x 365 [day] x 24 [hour] x 0.1458 = 255441.6 [kWh/year]

     

    (4)     연간 소내전력량을 구하시오.

    255441.6 [kWh/year] x 0.01 = 2554.41 [kWh/year]

     

    (5)     전력판매단가를 구하시오.(소수점 이하 절사)

    SMP + (REC x 가중치) = 170 + (150 x 1.499) = 394 [원/kWh]

     

    (6)     연간 전력 판매 수익을 구하시오.(소수점 이하 절사)

    전력판매수익 = 전력판매단가 x (연간발전량 소내전력)

    (255441.6 [kWh/year] – 2554.41 [kWh/year] x 394 [원/kWh] = 99637552 [원]

     

    참고

     

     

     

    ★★☆

    2년 동안의 할인율이 2.5 [%], 첫해(B1)의 편익이 6, 다음 해(B2)의 편익이 5억 8천만 원이다. 할인율을 고려한 2년 동안의 총비용이 11억이라 할 때 1) B/C Ratio를 구하고, 2) 사업의 경제성 여부를 판단하시오.

    (, 비용편익비 분석 기법에서 연차별 총편익을 , 연차별 총비용을 , 할인율을 , 기간을  라고 한다. 시공기준은 0차 연도 기준으로 한다.)

     

    B/C Ratio = 1.06 > 1 이므로 사업의 경제성이 있다.

     

     

    ★★★

    다음과 같은 [표 1], [표 2] 조건으로 일반부지에 태양광발전소를 설치하고자 한다. 다음 각 물음에 답하시오.

    [표 1]

    SMP[/kWh] 100 모듈 경년 감소율[%] 0.7
    REC[/kWh] 100 할인율[%] 5
    전력 판매단가[/kWh] 발전시간[h] 3.60
    설치용량[kW] 250 시스템이용률[%]

     

    [표 2]

    [단위 : 백만 원]

    구분 2019 2020 2021 2022 2023 2024
    발전수익 0 68 67 66 65 64
    발전비용 170 26 25 24 23 22

     

    (1)   REC 가중치가 적용된 전력 판매단가 ()를 계산하시오.(, 가중치 산출기준에 의거 소수점 넷째 자리에서 절사 하시오.)

     

    (2)  태양광발전시스템의 이용률 ()을 구하시오.

     

    (3)  [표 2]의 5년간 발전수익과 발전비용을 활용하여 비용편익비(B/C Ratio)를 구하시오. (, 발전수익과 발전비용 이외의 모든 이익과 비용은 제외한다.)

     

    (가)   연도별 편익과 비용

    (, 각 연도별 계산금액의 백만 원 미만은 절사하고 0차 연도를 기준으로 계산한다.)

     

    (4)   계산된 비용편익비를 근거로 사업 경제성(타당성)을 논하시오.

    비용편익비가 ‘1’ 이상으로 사업의 경제성이 있다.

     

     

    ★☆☆

    빈 공장 지붕에 태양광발전설비를 설치하고자 한다. 주어진 조건과 참고 표를 활용하여 각 물음에 대한 계산과정과 답을 정확히 쓰시오.

    설비용량 500 [kWp] 시스템이용률
    SMP 110 [/kWh] 할인율 5 [%]
    REC 140 [/kWh] 발전시간 [hour] 3.36
    판매단가       모듈발전량
    경년 감소율[%]
    0.8
    (당해년도는 계산하지 않는다.)

     

    (1)     REC SMP를 적용한 태양광발전 판매단가를 산출하시오.

     

     

    (2)     태양광발전시스템의 이용률을 구하시오

     

    (3)     SMP REC는 고정으로 하고, 5년간의 발전용량과 발전수익을 산출하여 다음 표의 빈칸에 쓰시오. (, 산출된 발전용량[MWh] 미만은 절사 하여, 발전수익 백만 원 미만을 절사 한다.)

    년도 2019 2020 2021 2022 2023
    발전용량 [MWh/year] 613 608 603 598 593
    발전수익(총 투자편익) 196 194 192 191 189

     

         ①    1차년도(2019년)

              A.      발전용량 = 500 x 3.36 x 365 = 613 [MWh/year]

              B.      발전수익 = 320 x 1000 x 613 = 196 [백만 원/year]

        ②    2차년도(2020년)

              A.      발전용량 = 613 x (1 - 0.008) = 608 [MWh/year]

              B.      발전수익 = 320 x 1000 x 608 = 194 [백만 원/year]

           3차년도(2021년)

              A.      발전용량 = 608 x (1 - 0.008) = 603 [MWh/year]

              B.      발전수익 = 320 x 1000 x 603 = 192 [백만 원/year]

        ④    4차년도(2022년)

              A.      발전용량 = 603 x (1 - 0.008) = 598 [MWh/year]

              B.      발전수익 = 320 x 1000 x 598 = 191 [백만 원/year]

        ⑤    5차년도(2023년)

              A.      발전용량 = 598 x (1 - 0.008) = 593 [MWh/year]

              B.      발전수익 = 320 x 1000 x 593 = 189 [백만 원/year]

     

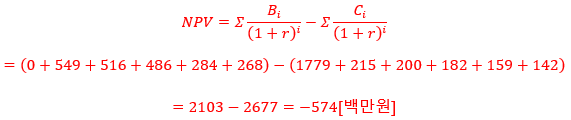
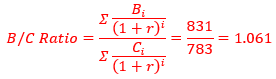
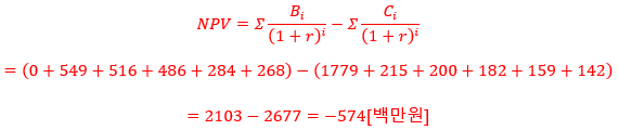
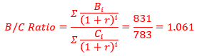
    (4)     발전설비 설치비용이 다음 표와 같을 때 순현재가치(NPV)와 비용편익비(B/C Ratio)를 구하시오. (, 발전수익과 발전비용 이외의 모든 이익과 비용은 제외한다.)

    년도 0차년도 1차년도 2차년도 3차년도 4차년도 5차년도
    발전비용(총비용) 680 26 25 24 24 23

     

        ①     연도별 편익과 비용(, 각 연도별 계산금액의 백만 원 미만은 절사 한다.)

     

     

        ②     순현재가치(NPV)

     

        ③    비용편익비(B/C Ratio)

     

    (5)     순현재가치(NPV) 및 비용편익비 (B/C Ratio)를 근거로 사업 경제성(타당성)을 검토하시오.

     

        ①       순현재가치(NPV)

              순현재가치(NPV) = 48 [백만 원] > 0 이므로 사업의 경제성(타당성)이 있다.

     

        ②       비용편익비(B/C Ratio)

              비용편익비(B/C Ratio)가 1 이상(1.061 > 1) 이므로 사업의 경제성(타당성)이 있다.

     

     

    ★☆☆

    다음 조건과 참고 표를 이용하여 일반부지에 태양광발전설비를 설치하고자 한다. 각 물음에 대한 계산과정과 답을 정확히 쓰시오.

    [조건]

    설비용량 500[kWp] 시스템 이용률 (2)
    SMP 100/[kWh] 할인율 3.5[%]
    REC 150/[kWh] 발전시간(hour) 3.6
    판매단가 (1) 모듈발전량 경년 감소율 0.7[%]

     

    (1)   REC 가중치가 적용된 단가와 전체 판매단가(1)를 산출하시오. (, 가중치 산출기준에 의거 소수점 셋째 자리에서 발올림한다.)

     

     

    참고
    일반부지에 설치하는 경우 태양광에너지 가중치 선정방법

     

     

    (2)   태양광발전설비시스템 이용률 (2)을 구하시오.

     

    (3)   다음 표의 빈칸에 5년간 발전량과 발전수익을 산출하여 적으시오. (, REC 적용기간은 3년으로 하고, 산출된 발전량 [MWh] 미만은 절사 하고, 발전 수익 백만 원 미만을 절사 한다.)

    연도 2022 2023 2024 2025 2026
    발전량(MHh/year) 657 652 647 642 637
    발전수익(총투자편익) 168 166 165 64 63

     

        ①    1차년도(2022년)

              발전량 = 500 [kW] x 3.6 [h] x 365 [day/year] = 657 [MWh/year]

              발전수익 = 256 [원/kWh] x 1000 [원/MWh] x 657 [MWh/year] = 168 [백만 원]

        ②    2차년도(2023년)

              발전량 = 657 [kW] x (1-0.007) = 652 [MW/year]

              발전수익 = 256 [원/kWh] x 1000 [원/MWh] x 652 [MWh/year] = 166 [백만 원]

        ③    3차년도(2024년)

              발전량 = 652 [kW] x (1-0.007) = 647 [MW/year]

              발전수익 = 256 [원/kWh] x 1000 [원/MWh] x 647 [MWh/year] = 165 [백만 원]

        ④    4차년도(2025년)

              발전량 = 647 [kW] x (1-0.007) = 642 [MW/year]

              발전수익 = 100 [원/kWh] x 1000 [원/MWh] x 642 [MWh/year] = 64 [백만 원]

        ⑤    5차년도(2026년)

              발전량 = 642 [kW] x (1-0.007) = 637 [MW/year]

              발전수익 = 100 [원/kWh] x 1000 [원/MWh] x 637 [MWh/year] = 63 [백만 원]

     

    (4)   다음 표는 연도별 발전비용이다. 순현재가치(NPV)와 비용편익비(B/C)를 구하시오.

    ,       발전수익과 발전비용 이외의 모든 이익과 비용은 제외한다.

               태양광 시공기간은 ‘0’ 차년도 기준을 산정한다.

     

        ①    연도별 편익과 비용 (, 각 연도별 계산금액의 백만 원 미만은 절사 한다)

     

        ②     편익과 비용 계산 값을 근거로 연도별 순현재가치(NPV)를 구하시오.

     

        ③     편익과 비용 계산 값을 근거로 연도별 비용편익비(B/C Ratio)를 구하시오.

     

    (5)   본 발전설비의 순현재가치(NPV)와 비용편익비(B/C)에 대한 사업경제성(타당성)을 검토하시오.

        ①    순현재가치(NPV)

              순현재가치(NPV)가 47 [백만 원] > 0 보다 크므로 경제성(타당성)이 있다.

     

        ②     비용편익비(B/C)

              비용편익비(B/C Ratio)가 1 이상 (1.09 > 1) 이므로 사업의 경제성(타당성)이 있다.



    ★★★

    다음과 같은 조건과 참고를 이용하여 임야에 태양광발전설비를 설치하고자 한다. 다음 물음에 답하시오. (, 시스템 이용률을 이용하여 계산하시오.)

    [조건]

    설비용량 2288[kWp] 시스템 이용률 (2)
    SMP 140/[kWh] 할인율 5.5[%]
    REC 170/[kWh] 발전시간(hour) 3.36
    판매단가 (1) 모듈발전량 경년 감소율 0.7[%]
    자기자본율 100[%] 1차년도 모듈발전량 감소율 3[%]

     

    [참고]

    구분 공급인증서
    가중치
    대상에너지 및 기준
    설치유형 세부기준
    태양광
    에너지
    1.2  
    일반부지에 설치하는 경우
    100 [kW] 미만
    1.0 100 [kW] 부터
    0.8 3000 [kW] 초과부터
    0.5 임야에 설치하는 경우 -
    1.5 건축물 등 기존 시설물을 이용하는 경우 3000 [kW] 이하
    1.0 3000 [kW] 초과부터
    1.6  
    유지 등의 수면에 부유하여 설치하는 경우
    100 [kW] 미만
    1.4 100 [kW] 부터
    1.2 3000 [kW] 초과부터
    1.0 자가용 발전설비를 통해 전력을 거래하는 경우

     

     

    (1)   REC 가중치가 적용된 단가와 전체 판매단가(1)는 얼마인가? (소수점 두 번째 자리 절사)

     

    (2)   시스템 이용률(2)을 구하시오

     

    (3)   다음 빈칸에 5년간의 발전량과 발전수익을 구하여 적어 넣으시오.

     

    [조건 1] REC전용기간은 3년으로 한다.
    [조건 2] 발전량은 [MWh] 이하 절사, 발전수익 백만원 이하 절사한다.

     

    연도 2017 2018 2019 2020 2021
    발전량(MWh/year) 2721 2701 2682 2663 2644
    발전수익(총투자편익) 612 607 603 372 370

     

    2017년 발전량 = 2288 [kW] x 3.36 [h] x 365 [day/year] x (1-0.03) = 2721 [MWh/year]

    2017년 발전수익 = 225 [원/kWh] x 2721 [MWh/year] = 612 [백만 원]

     

    2018년 발전량 = 2721 [kW] x (1-0.007) = 2701 [MWh/year]

    2018년 발전수익 = 225 [원/kWh] x 2701 [MWh/year] = 607 [백만 원]

     

    2019년 발전량 = 2701 [kW] x (1-0.007) = 2682 [MWh/year]

    2019년 발전수익 = 225 [원/kWh] x 2682 [MWh/year] = 603 [백만 원]

     

    2020년 발전량 = 2682 [kW] x (1-0.007) = 2663 [MWh/year]

    2020년 발전수익 = 140 [원/kWh] x 2663 [MWh/year] = 372 [백만 원]

     

    2021년 발전량 = 2663 [kW] x (1-0.007) = 2644 [MWh/year]

    2021년 발전수익 = 140 [원/kWh] x 2644 [MWh/year] = 370 [백만 원]

     

    (4)   다음은 연도별 발전비용이다. 순현가(NPV)와 비용편익비(B/C)를 구하시오.

    (, 발전수익과 발전비용 이외의 모든 이익과 비용은 제외한다.

           태양광 시공기간은 1차 연도 기준으로 한다.)

     

    연도 2016 2017 2018 2019 2020 2021
    발전비용(총비용) 1877 240 236 226 209 196

     

     

     

    (5)   본 발전소의 순현가와 비용편익비에 대한 사업 타당성을 논하시오.

    순현가(NPV)가 -576 [백만 원]으로 ‘0’보다 작으며, 비용편익비 또한 0.786으로 ‘1’보다 작으므로 경제적으로 타당하지 않다.

     

     

    ★★☆

    다음은 태양광발전소 부지의 수평면 일사량과 외부 손실 요소이다. 다음 물음에 답하시오. (, 음영 손실요소는 0.7 [%], 태양전지표면 먼지에 의한 손실요소는 3.0 [%]이며, 계산은 소수점 셋째 자리에서 반올림한다.)

    구분 1 2 3 4 5 6 7 8 9 10 11 12
    수평면일사량[kWh/m2] 80.3 89.4 110.1 127.8 140.4 120.0 127.4 136.1 96.3 86.8 73.2 71.9

     

    (1)     태양전지모듈의 경사면 일사량을 구하시오. (, 경사량은 15°이고 이에 따른 일사량 증가율은 9.2 [%]이다.)

     

    (2)     음영과 먼지에 의한 손실이 적용된 경사면 일사량을 순서대로 적용하여 최종값을 구하시오.

     

        ①     음영에 의한 손실이 적용된 경사면 일사량 :

        ②     태양전지표면 먼지에 의한 손실이 적용된 일사량 :

     

    (3)     태양광발전소의 전체 설치용량은 998 [kWp]이고, 태양전지모듈의 면적은 6079 [m2] 일 때 변환효율을 구하시오.

     

     

    (4)     발전소 전체효율(PR, Performance ratio)이 85.5 [%] 일 경우 연간 발전량을 구하시오.

     

     

    ★★☆

    태양광발전소 발전용량이 500 [kW]이고, 이용률이 15.5 [%] 일 때 태양광 발전소의 일일 발전 시간과 연간 발전량을 구하시오.

     

     

    참고

     

     

    ★★☆

    태양전지 어레이의 출력이 10800 [W], 해당지역 8월의 월 적산 경사면 일사량이 115.94 [kWh/(m2•월)[이라고 하면 8월 한 달 동안의 발전량[kWh/]을 구하시오. (, 종합설계계수는 0.66을 적용한다.)

    참고

    8월 발전량 산출

     

     

    ★★☆

    다음 조건을 참고하여 월 발전량을 구하시오.

    [조건]

    태양전지 모듈 출력 [Wp] 300
    월 적산 경사면 일사량 [kWh/m2] 120
    모듈의 출력 전압 범위 [V] 23~35
    모듈의 직렬 수 18
    모듈의 병렬 수 20
    종합설계 계수 0.8

     

    스트링 출력 전력 : 300 x 18 = 5,400 [Wp]

    어레이 전체 출력 : 5400 x 20 = 108,000 [Wp] = 108 [kWP]

     

     

    참고

    월 발전량 산출

     

     

    ★☆☆

    태양전지 어레이의 출력이 1.5 [kW]이고 8월의 월 적산어레이 경사면 일사량이 120 [jWh/(m2•월)]이라고 하면 8월 한 달 동안의 발전량[kWh/]을 구하시오.

    참고

     

     

    ★☆☆

    태양광발전설비를 설치할 지붕 면적은 7 5.7 [h/day], 연간 최소 발전량 3600 [kWh/year]이다. 아래 표의 태양광모듈을 이용하여 다음 물음에 답하시오. (, 태양광 인버터 손실률은 25 [%]이다.)

      A사 태양광 모듈 B사 태양광 모듈 C사 태양광 모듈
    전력 145 [W] 158 [W] 150 [W]
    가로 [m] 1.19 1.29 1.61
    세로 [m] 0.91 0.99 0.81

     

    (1)     다음 연 최대 발전량[KWH/year]을 계산하시오.

        ①       A사 태양광 모듈

    짧은 쪽을 7 [m]에 적용하는 경우

    7 [ea] x 2 [ea] = 14

     

     

    긴 쪽을 7 [m]에 적용하는 경우

    5 [ea] x 3 [ea] = 15

     

     

    연 최대 발전량 = 0.145 [kW] x 15 x 5.7 [h] x 365 x (1-0.025) = 4411.96 [kWh/year]

     

     

        ②       B사 태양광 모듈

    짧은 쪽을 7 [m]에 적용하는 경우

    7 [ea] x 2 [ea] = 14

     

     

    긴 쪽을 7 [m]에 적용하는 경우

    5 [ea] x 3 [ea] = 15

     

     

    연 최대 발전량 = 0.158 [kW] x 15 x 5.7 [h] x 365 x (1-0.025) = 4807.52 [kWh/year]

     

     

        ③       C사 태양광 모듈

    짧은 쪽을 7 [m]에 적용하는 경우

    8 [ea] x 1 [ea] = 8

     

    긴 쪽을 7 [m]에 적용하는 경우

    4 [ea] x 3 [ea] = 12

     

     

    연 최대 발전량 = 0.15 [kW] x 12 x 5.7 [h] x 365 x (1-0.025) = 3651.28 [kWh/year]

     

    (2)     산출근거로 설치한 모듈은?

    설치 용량이 많은 15장 선택

     

    모듈 수 계산 시 소수점은 절사 한다. 만약 소수점을 절사 하지 않고, 계산 시 태양광모듈 크기가 지붕 면적보다 더 커질 수 있다.

     

     

    ★★★

    연간 발전량이 1300 [MWh]인 태양광발전소의 초기 투자비가 40억으로 20년간 운영하고 연간 유지보수비용이 3/년 일 때 발전원가[/kWh]?

    참고

     

     

    ★★☆

    다음 조건에 해당하는 경기지역 의료시설의 예상 에너지 사용량을 구하시오. (, 건축 연면적은 1000 [m2]이다.)

    외료시설 단위에너지 사용량
    [kWh/m2year]
    용도별 보정계수 경기지역 지역계수
    643.53 1.00 0.99

     

    참고

    예상 에너지사용량=건축 연면적 x 단위 에너지사용량 x 용도별 보정계수 x 지역계수

     

     

    그 외 계산문제

    [신재생에너지발전설비기사(태양광) 실기 계산 01] 시공 관련 계산 문제

     

    [신재생에너지발전설비기사(태양광) 실기 계산 01] 시공 관련 계산 문제

    신재생에너지발전설비기사(태양광) 실기에서 출제되는 계산 문제 중 시공 관련된 문제를 정리해보려고 합니다. 문제는 2013~2022년의 10개년 문제이며, 출제된 횟수를 특수문자 ★ 로 표현하되,

    engineer-ing.tistory.com

    [신재생에너지발전설비기사(태양광) 실기 계산 03] 태양전지, 인버터, 남중고도, 단위변환 계산문제

     

    [신재생에너지발전설비기사(태양광) 실기 계산 03] 태양전지, 인버터, 남중고도, 단위변환 계산문

    신재생에너지발전설비기사(태양광) 실기에서 출제되는 계산 문제 중 태양전기, 인버터, 남중고도, 단위변환 등 관련된 문제를 정리해보려고 합니다. 문제는 2013~2022년의 10개년 문제이며, 출제

    engineer-ing.tistory.com

    [신재생에너지발전설비기사(태양광) 실기 계산 04] 태양광 직병렬 계산 문제

     

    [신재생에너지발전설비기사(태양광) 실기 계산 04] 태양광 직병렬 계산 문제

    신재생에너지발전설비기사(태양광) 실기에서 출제되는 계산 문제 중 시공 관련된 문제를 정리해보려고 합니다. 문제는 2013~2022년의 10개년 문제이며, 출제된 횟수를 특수문자 ★ 로 표현하되,

    engineer-ing.tistory.com

    [신재생에너지발전설비기사(태양광) 실기 05] 어레이 이격거리 계산 문제

     

    [신재생에너지발전설비기사(태양광) 실기 05] 어레이 이격거리 계산 문제

    신재생에너지발전설비기사(태양광) 실기에서 출제되는 계산 문제 중 어레이 이격거리 관련된 문제를 정리해보려고 합니다. 문제는 2013~2022년의 10개년 문제이며, 출제된 횟수를 특수문자 ★ 로

    engineer-ing.tistory.com

    [신재생에너지발전설비기사(태양광) 실기 06] 전기 관련 계산 문제

     

    [신재생에너지발전설비기사(태양광) 실기 06] 전기 관련 계산 문제

    신재생에너지발전설비기사(태양광) 실기에서 출제되는 계산 문제 중 전기 자격증에 출제 관련된 문제를 정리해보려고 합니다. 문제는 2013~2022년의 10개년 문제이며, 출제된 횟수를 특수문자 ★

    engineer-ing.tistory.com