신재생에너지발전설비기사(태양광) 실기에서 출제되는 계산 문제 중 어레이 이격거리 관련된 문제를 정리해보려고 합니다.
문제는 2013~2022년의 10개년 문제이며, 출제된 횟수를 특수문자 ★ 로 표현하되, 최대 3번까지 적용합니다
목차
기본수식
이격거리


계산문제
★☆☆
태양광 어레이의 이격거리(D)를 구하는 공식에서 L, α, β에 대항하는 용어를 쓰시오.

참고
이격거리 계산
★☆☆
음영대책을 위해 다음과 같은 조건에서 모듈의 설치간격(d)을 구하는 관계식을 쓰시오.
(단, L : 모듈의 길이, d : 열 사이의 거리, α : 태양광발전 모듈의 경사각, β : 태양 고도각이다.)


참고
이격거리 공식
α : 태양전지 모듈의 경사각
β : 태양 고도각
L : 태양전지 모듈의 길이
★☆☆
모듈길이 2000[mm], 모듈경사각 30°, 태양 고도각이 18°일 경우 그림을 참고하여 X값을 구하시오.


참고
★☆☆
지붕형에 태양광모듈을 그림과 같이 설치할 경우 이격거리 d를 구하시오. (단, 모듈의 길이는 1m)


★☆☆
그림을 참고하여 태양전지모듈의 이격거리를 구하시오. (단, L=1.5[m], 태양전지모듈 경사각 35°, 태양 고도각 18.5°이다.)


참고
이격거리 공식
α : 태양전지 모듈의 경사각
β : 태양 고도각
L : 태양전지 모듈의 길이
★☆☆
태양전지모듈을 설치하려고 한다. 태양전지모듈의 경사각이 30°, 겨울철 태양 고도각이 18°, 태양전지 모듈의 길이가 2[m] 일 때 최소 이격 거리[D]를 구하시오.

★★★
위도 37°, 경도 128°, 대청호 주변에 모듈길이(L) 1.5[m], 태양전지모듈 경사각(α) 30°, 태양 고도각(β) 25°로 하여 태양광발전시스템을 설치하려고 한다. 다음 물음에 답하시오. (단, 소수점 넷째자리에서 반올림하여 셋째자리까지 계산하시오.)

(1) 설계 모듈간 최소 이격거리(d)를 구하시오.

(2) 대지이용률(f)를 구하시오.

★☆☆
다음 그림과 같은 조건에서 길이[d]를 구하시오.


★☆☆
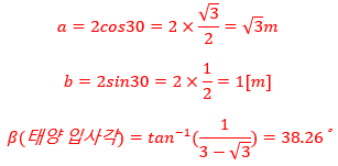
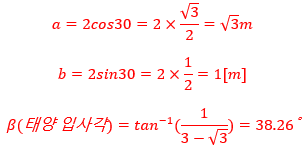
다음과 같이 모듈의 길이는 2[m]이고 태양광 판넬의 경사각이 30°일 때 모듈 간의 이격거리는 3[m]이다. 이때 태양광 판넬의 입사각을 구하시오.


★☆☆
다음과 같은 그림에서 태양광 어레이 사이의 이격 거리(B)를 구하시오.


★☆☆
A점과 B점의 표고가 각각 102[m], 123[m]이고 AB의 거리가 14[m]일 때 110[m] 등고선은 A점으로부터 몇 [m]의 거리에 있는가?

그 외 계산문제
[신재생에너지발전설비기사(태양광) 실기 계산 01] 시공 관련 계산 문제
[신재생에너지발전설비기사(태양광) 실기 계산 01] 시공 관련 계산 문제
신재생에너지발전설비기사(태양광) 실기에서 출제되는 계산 문제 중 시공 관련된 문제를 정리해보려고 합니다. 문제는 2013~2022년의 10개년 문제이며, 출제된 횟수를 특수문자 ★ 로 표현하되,
engineer-ing.tistory.com
[신재생에너지발전설비기사(태양광) 실기 계산 02] 태양광발전의 발전량, 발전원가, 판매수익, 경제성검토 계산
[신재생에너지발전설비기사(태양광) 실기 계산 02] 태양광발전의 발전량, 발전원가, 판매수익, 경
신재생에너지발전설비기사(태양광) 실기에서 출제되는 계산 문제 중 태양광발전의 발전량, 발전원가, 판매수익, 경제성 검토 등 관련된 문제를 정리해보려고 합니다. 문제는 2013~2022년의 10개년
engineer-ing.tistory.com
[신재생에너지발전설비기사(태양광) 실기 계산 03] 태양전지, 인버터, 남중고도, 단위변환 계산문제
[신재생에너지발전설비기사(태양광) 실기 계산 03] 태양전지, 인버터, 남중고도, 단위변환 계산문
신재생에너지발전설비기사(태양광) 실기에서 출제되는 계산 문제 중 태양전기, 인버터, 남중고도, 단위변환 등 관련된 문제를 정리해보려고 합니다. 문제는 2013~2022년의 10개년 문제이며, 출제
engineer-ing.tistory.com
[신재생에너지발전설비기사(태양광) 실기 계산 04] 태양광 직병렬 계산 문제
[신재생에너지발전설비기사(태양광) 실기 계산 04] 태양광 직병렬 계산 문제
신재생에너지발전설비기사(태양광) 실기에서 출제되는 계산 문제 중 시공 관련된 문제를 정리해보려고 합니다. 문제는 2013~2022년의 10개년 문제이며, 출제된 횟수를 특수문자 ★ 로 표현하되,
engineer-ing.tistory.com
[신재생에너지발전설비기사(태양광) 실기 06] 전기 관련 계산 문제
[신재생에너지발전설비기사(태양광) 실기 06] 전기 관련 계산 문제
신재생에너지발전설비기사(태양광) 실기에서 출제되는 계산 문제 중 전기 자격증에 출제 관련된 문제를 정리해보려고 합니다. 문제는 2013~2022년의 10개년 문제이며, 출제된 횟수를 특수문자 ★
engineer-ing.tistory.com
'에너지 > 신재생에너지발전설비기사(태양광) 실기' 카테고리의 다른 글
| [신재생에너지발전설비기사(태양광) 실기 06] 전기 관련 계산 문제 (1) | 2024.12.22 |
|---|---|
| [신재생에너지발전설비기사(태양광) 실기 계산 04] 태양광 직병렬 계산 문제 (0) | 2024.12.19 |
| [신재생에너지발전설비기사(태양광) 실기 계산 03] 태양전지, 인버터, 남중고도, 단위변환 계산문제 (0) | 2024.12.13 |
| [신재생에너지발전설비기사(태양광) 실기 계산 02] 태양광발전의 발전량, 발전원가, 판매수익, 경제성검토 계산 (2) | 2024.12.13 |
| [신재생에너지발전설비기사(태양광) 실기 계산 01] 시공 관련 계산 문제 (4) | 2024.11.28 |










