에너지/신재생에너지발전설비기사(태양광) 실기

[신재생에너지발전설비기사(태양광) 실기 계산 01] 시공 관련 계산 문제

엔지니어관리자 2024. 11. 28. 22:12

 

신재생에너지발전설비기사(태양광) 실기에서 출제되는 계산 문제 중 시공 관련된 문제를 정리해보려고 합니다.

 

문제는 2013~2022년의 10개년 문제이며, 출제된 횟수를 특수문자 ★ 로 표현하되, 최대 3번까지 적용합니다

 

목차

     

    기본수식

    터파기

     

    노무비

    기초판

     

     

    계산문제

    ★★★

    다음 그림을 참고하여 터파기량을 계산하시오.

     

     

    참고

     

     

    ★☆☆

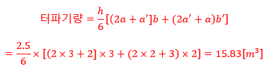
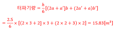
    태양광발전용 구조물 기초를 설치하기 위하여 다음 그림과 같이 굴착을 해야 한다. 이떄 터파기량은 몇 [m3]인가? (, 소수3째 자리에서 반올림 할)

     

     

    ★☆☆

    모터 그레이드(브레이드 유효길이 2.8[m])로서 폭 504[m], 길이 200[m]의 성토를 1회 정지하는 데 필요한 시간[H]를 구하시오.

    (, 작업계수 = 0.8, 전진(V1) = 4[km/h], 후진(V2)=6[km/h]이다.)

     

    참고
    모터 그레이더[motor grader]
    땅바닥을 깎아 판판하게 고르거나 눈을 치우는데 쓰는 토목 건설 기계

     

    ★★★

    총공사비가 10억원 이고, 공사기간이 10개월인 전기공사의 경우 간접 노무비율[%]을 참고 자료에 의거하여 계산하시오.

    구분 간접노무비율[%]
    공사 종류별 건축공사 14.5
    토목공사 15
    특수공사(포장, 준설 등) 15.5
    기타(전문, 전기, 통신 등) 15
    공사 규모별 품셈에 의하여 산출되는 공사원가 기준 50억원 미만 14
    50 ~ 300억원 미만 15
    300억원 이상 16
    공사 기간별 6개월 미만 13
    6 ~ 12개월 미만 15
    12개월 이상 17

     

    참고

     

     

    ★★★

    구조계산서에 의하면 허용지내력 fe=150[kN/m2] 일 때 기초크기는 1.5[m] x 1.5[m] 설계되었으나 현장에서 지내력 시험을 한 결과 fe=100[kN/m2]으로 측정되었다. 이 경우 변경 기초 크기의 면적은 몇으로 하여야 하는가? (, 구조물에 걸리는 하중은 330[kN]이다.)

    답 : 1.9m x 1.9m

     

    참고
    실제 설치될 기초판의 넓이는 계산값보다 크거나 같아야 한다.
    이를 위해서 소수점 첫 번째 자리까지 표현하면 1.9[m]로 나타낼 수 있다.

     

     

    ★★★

    축 방향력 N=20[t]이고 기초 자중이 2.5[t]일 때 허용지내력 fe=10[t/m2]이면 가장 경제적인 정방향 독립기초의 크기를 구하시오. (, 독립기초의 크기는 한 변(m) x 한 변(m) 형식으로 한다.)

     

    답 : 1.5[m] x 1.5[m]

     

     

    ★☆☆

    다음은 경계측량을 위하여 측정한 지점 A, B이다. 지점 A, B의 방위각을 구하시오. (, X는 종선, Y는 횡선이다.)

     

     

     

    참고

     

     

    그 외 계산문제

    [신재생에너지발전설비기사(태양광) 실기 계산 02] 태양광발전의 발전량, 발전원가, 판매수익, 경제성검토 계산

     

    [신재생에너지발전설비기사(태양광) 실기 계산 02] 태양광발전의 발전량, 발전원가, 판매수익, 경

    신재생에너지발전설비기사(태양광) 실기에서 출제되는 계산 문제 중 태양광발전의 발전량, 발전원가, 판매수익, 경제성 검토 등 관련된 문제를 정리해보려고 합니다. 문제는 2013~2022년의 10개년

    engineer-ing.tistory.com

    [신재생에너지발전설비기사(태양광) 실기 계산 03] 태양전지, 인버터, 남중고도, 단위변환 계산문제

     

    [신재생에너지발전설비기사(태양광) 실기 계산 03] 태양전지, 인버터, 남중고도, 단위변환 계산문

    신재생에너지발전설비기사(태양광) 실기에서 출제되는 계산 문제 중 태양전기, 인버터, 남중고도, 단위변환 등 관련된 문제를 정리해보려고 합니다. 문제는 2013~2022년의 10개년 문제이며, 출제

    engineer-ing.tistory.com

    [신재생에너지발전설비기사(태양광) 실기 계산 04] 태양광 직병렬 계산 문제

     

    [신재생에너지발전설비기사(태양광) 실기 계산 04] 태양광 직병렬 계산 문제

    신재생에너지발전설비기사(태양광) 실기에서 출제되는 계산 문제 중 시공 관련된 문제를 정리해보려고 합니다. 문제는 2013~2022년의 10개년 문제이며, 출제된 횟수를 특수문자 ★ 로 표현하되,

    engineer-ing.tistory.com

    [신재생에너지발전설비기사(태양광) 실기 05] 어레이 이격거리 계산 문제

     

    [신재생에너지발전설비기사(태양광) 실기 05] 어레이 이격거리 계산 문제

    신재생에너지발전설비기사(태양광) 실기에서 출제되는 계산 문제 중 어레이 이격거리 관련된 문제를 정리해보려고 합니다. 문제는 2013~2022년의 10개년 문제이며, 출제된 횟수를 특수문자 ★ 로

    engineer-ing.tistory.com

    [신재생에너지발전설비기사(태양광) 실기 06] 전기 관련 계산 문제

     

    [신재생에너지발전설비기사(태양광) 실기 06] 전기 관련 계산 문제

    신재생에너지발전설비기사(태양광) 실기에서 출제되는 계산 문제 중 전기 자격증에 출제 관련된 문제를 정리해보려고 합니다. 문제는 2013~2022년의 10개년 문제이며, 출제된 횟수를 특수문자 ★

    engineer-ing.tistory.com