신재생에너지발전설비기사(태양광) 실기에서 출제되는 계산 문제 중 전기 자격증에 출제 관련된 문제를 정리해보려고 합니다.
문제는 2013~2022년의 10개년 문제이며, 출제된 횟수를 특수문자 ★ 로 표현하되, 최대 3번까지 적용합니다
★★★
다음은 태양광발전용량 200[kW], 인버터 200[kW] 한 대를 이용하여 설계한 단선결선도이다. 그림을 참고하여 다음 물음에 답하시오.
(1) 도면에 표시된 (가)의 차단용량[MVA]은 얼마인가?
(2) 변압기에 표시된 (나)의 정격용량 [kVA]을 구하고 표준용량을 쓰시오. (단, 변압기 여유율 1.2로 하며, 인버터는 변압기가 없는 형식이다.)
(3) 점선안에 들어갈 단선도(그림기호)와 접지를 표시하시오.
★★☆
다음은 태양광발전용량 200[kW], 인버터 200[kW] 한 대를 이용하여 설계한 단선결선도이다. 그림을 참고하여 다음 물음에 답하시오.
차단기 정격차단용량 [MVA] | |||||||
100 | 160 | 250 | 310 | 410 | 520 | 600 | 750 |
변압기 표준용량 [kVA] | |||||||
100 | 150 | 200 | 250 | 300 | 400 | 500 | 750 |
(1) 도면에 표시된 (가)의 차단용량[MVA]은 얼마인가?
(2) 변압기에 표시된 (나)의 정격용량 [kVA]을 구하고 표준용량을 쓰시오. (단, 변압기 여유율 1.2로 하며, 인버터는 변압기가 없는 형식이다.)
표준용량 250[kVA]로 선정
(3) 점선안에 들어갈 단선도(그림기호)와 접지를 표시하시오.
★★☆
최대 출력전압이 29.7[V]이고, 최대 출력전류는 8.3[A]인 태양전지모듈이 6직렬 2병렬의 태양광 어레이를 구성하고 있다. 이때 태양광 어레이에서 인버터까지의 전선길이는 130[m]., 전압강하는 2[%]이다. 물음에 답하시오.
(1) 태양광 어레이에서 인버터까지의 연결되는 전선의 단면적은? (단, 전선의 단면적을 구하기 위한 과정을 모두 쓰시오.)
최대 출력 전류 : 8.3[A] x 2(병렬) = 16.6[A]
최대 출력 전압 : 29.7[V] x 6(직렬) = 178.2[V]
전압강하 : 178.2[V] x 0.02 = 3.564[V]
(2) 표준 단면적 규격은?
★☆☆
3상3선식 전압 강하를 구하고자 하는 경우 이용 할 수 있는 약산식을 다음 조건을 이용하여 구하시오.
[조건]![]() |
★★☆
다음과 같은 조건을 참고하여 태양광발전설비의 전압강하율[%]을 구하시오. (단, 어레이 직렬 수는 10개, 병렬 수 30개, 전선 길이 50[m], 전선 단면적 50[mm2])
어레이 정격 전압 = 33[V] x 10 = 330[V]
어레이 정격 전류 = 5[A] x 30 = 150[A]
★☆☆
250[W] 태양 전지(40[V], 8.68[A])가 22직렬로 설치된 PV 어레이 단자함에서 인버터까지 거리가 135[m], 전선의 공칭 단면적이 6[mm2] 일 때 전압 강하율[%]을 구하시오.
태양전지모듈 22직렬의 전체 전압 = 40 x 22 = 880[V]
★★☆
인버터에서 옥내 분전반간의 배선을 할 경우, 모듈에서 접속함 직류배선이 100[m]이다. 태양전지 모듈 어레이 전압 610[V], 전류 9[A]일 떄 전압강하를 계산하시오. (단, 전선의 단면적은 10[mm2]이다.)
참고
★☆☆
3상 3선식 배전선로 각 선간의 전압 강하의 근사값을 구하고자 하는 경우 이용할 수 잇는 관계식을 다음의 조건을 이용하여 유도하시오.
[조건]![]() |
★★☆
그림과 같은 부하 특성일 때 사용축전지의 보수율(L)은 0.8, 최저 축전지 온도 5[℃], 허용 최저 전압이 1.06[V/cell]일 때, 축전지의 용량[Ah]을 계산하시오.
★★☆
다음 조건에 맞는 독립형 전원시스템용 축전지 용량[Ah]을 구하시오.
[조건]![]() |
참고
독립형 전원시스템용 축전지 용량공식
★☆☆
다음 조건에 의한 독립형 태양광발전용 축전지의 최소 설치용량(Ah)을 구하시오.
[조건] 1일 부하 적산량(Ld) : 3[KWH] 보수율(L) : 0.8 일조가 없는 날의 일수(Df) : 10일 축전지 개수(N) : 50개 DOD : 0.6 공칭 축전지 전압 : 2[V] |
★☆☆
다음 조건을 만족하는 독립형 태양광발전시스템용 축전지 설치용량을 계산하시오. (단, 납축전지의 공칭전압은 2.0[V]이다.)
부조일수 | 10일 |
보수율(L) | 0.8 |
납축전지 수량 | 260개 |
1일 부하 적산량 | 5[kWh] |
방전심도(DOD) | 0.6 |
★★☆
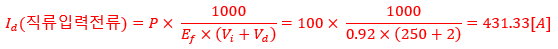
태양전지시스템의 부하 평준화 대응형 축전지의 설치용량을 산출 하려고 한다. 조건을 참고하여 다음 물음에 답하시오.
[조건]![]() |
(1) 부하의 평균용량[kW]으로 PCS의 직류입력 전류(Id)를 구하시오.
(2) 축전지 직렬 개수(N)를 구하시오.
(3) 축전지 용량(C)을 구하시오.
따라서 축전지 필요 용량은 2000[Ah]이다.
★☆☆
총 임피던스의 합성이 5[%]인 정격용량이 100[MVA]가 있을 때 단락용량은 몇 [MVA]로 하여야 하는가?
참고
★☆☆
태양광어레이 분전반에서 25[m] 거리에 4.4[kW]의 교류 단상 220[V] 전열기를 설치하였다. 배선방법을 금속관 공사로 하고 전압강하를 2[%] 이하로 하기 위한 전선의 굵기를 얼마로 선정하는 것이 적당한가? (단, 감소계수는 0.7이다.)
전선의 단면적 6[mm2]
참고
공칭단면적[mm2] : 1.5, 2.5, 4, 6, 10, 16, 25, 35, 50, 70, 95, 120, 150, 185, 240, 300, 400, 500, 630
★☆☆
태양광어레이 분전반에서 10[m] 거리에 2[kW]의 교류 단상 220[V] 전열기를 설치하였다. 배선방법을 금속관 공사로 하고 전압강하를 2[%] 이하로 하기 위한 전선의 굵기를 얼마로 선정하는 것이 적당한가? (단, 감소계수는 0.7이다.)
공칭 단면적 [mm2]
1.5 2.5 4 6 10 16 25 35 50 70 95 120 150 185 240 300 400 500 630 |
전선의 단면적 1.5[mm2]
★★★
수용가 인입구의 전압이 22.9[kV], 주차단기 용량이 250[MVA]이다. 10[MVA] 22.9/3.3[kV] 변압기의 임피던스가 5.5[%] 일 때 변압기 2차측에 필요한 차단기 용량을 다음 표에서 선정하시오.
차단기 표준용량[MVA]
75 100 160 250 300 400 500 750 1000 |
기준용량을 10[MVA]로 할 때, 전원측 임피던스를 먼저 구해준다.
차단기 용량은 단락용량보다 커야 하므로 표에서 160[MVA] 선정
★☆☆
설비용량 800[kW], 부등률 1.2, 수용률 60[%]일 때 변전실 용량을 계산하여 변압기의 최소 표준용량[kVA]을 선정하시오. (단, 역률은 90[%] 이상 유지되는 조건이다.)
300 | 350 | 400 | 450 | 500 |
표준용량 : 450[KVA]
★☆☆
적설하중에서 경사지붕일 때 적설하중은 몇 [kN/m2]으로 하여야 하는가?
기본 지붕 적설 하중 계수 | 0.7 | 노출계수 | 0.5 |
온도계수 | 1.0 | 중요도 계수 | 1.0 |
평지붕 하중 | 0.5 | 지붕경사도 계수 | 1.2 |
경사지붕 적설하중
참고
★☆☆
수용가들의 일부하곡선이 그림과 같을 때 각 물음에 답하시오.
(단, 실선은 A수용가, 점선은 B수용가이다.)
(1) A, B 각 수용가의 수용률[%]을 계산하시오. (단, 설비용량은 수용가 모듈 10 x 10^3[kW]이다.)
수용가 | 계산과정 | 수용률[%] |
A | ![]() |
50[%] |
B | ![]() |
30[%] |
(2) A, B 각 수용가의 부하율[%]을 계산하시오.
수용가 | 계산과정 | 부하률[%] |
A | ![]() |
70[%] |
B | ![]() |
58.33[%] |
(3) 수용가의 부등률을 계산하시오.
★★☆
스트링을 구성하는 모듈의 수는 22[EA], 전선의 길이는 135[m], 단면적이 6[mm2]인 F-CV전선을 사용할 때 다음과 같이 주어진 조건에서 태양전지모듈로부터 접속함까지의 전압 강하율을 구하시오.
★☆☆
독립형 태양광 발전시스템의 설계에서 제1단계는 1일 전력 수요량 결정이다. 전력 소비량을 바탕으로 독립형 태양광 발전시스템이 부담해야 할 부하량을 먼저 계산하기 위해 1일 소비전력량을 계산하여야 한다. 각 물음에 답하시오.
구분 | 전기 기기명 | 수량 | 소비전력 | 사용시간 | 1일 소비전력량 |
1 | 세탁기 | 1 | 60[W] | 1시간 | 60[Wh] |
2 | 선풍기 | 1 | 9.9[W] | 4시간 | 39.6[Wh] |
3 | 냉장고 | 1 | 30[kWh]주1) | 24시간 | (A) |
4 | 믹서기 | 1 | 800[W] | 15분 | (B) |
5 | TV | 1 | 80[W] | 5시간 | 400[Wh] |
6 | 컴퓨터 | 1 | 700[W] | 30분 | (C) |
7 | 라디오 | 1 | 5[W] | 6시간 | 30[Wh] |
8 | 전등 | 2 | 12[W] | 5시간 | 120[Wh] |
9 | 드라이기 | 1 | 1000[W] | 20분 | (D) |
합 | (E) |
주1) 냉장고의 소비전력은 월간 사용량이다.
주2) 한 달은 30일로 한다.
(1) 표에서 (A) ~ (E)까지의 1일 전력 소비량을 구하시오.
(A) 30,000 / 30(일) = 1000[Wh]
(B) 800 x 0.25 = 200[Wh]
(C) 700 x 0.5 = 350[Wh]
(D) 1,000 x 0.33 = 330[Wh]
(E) 합계 : 60 + 39.6 + 1,000 + 200 + 400 + 350 + 30 + 120 + 330 = 2,529.6[Wh]
(2) 표에서 계산한 1일 전력 소비량일 때 전력공급 시스템에서 실제 감당해야 할 1일 부하량은 얼마인가? 단, 손실 보정지수는 1.2로 한다.
1일 부하량 = (1일 소비전력량) x 1.2 = 2,529.6 x 1.2 = 3035.52[Wh]
그 외 계산문제
[신재생에너지발전설비기사(태양광) 실기 계산 01] 시공 관련 계산 문제
[신재생에너지발전설비기사(태양광) 실기 계산 01] 시공 관련 계산 문제
신재생에너지발전설비기사(태양광) 실기에서 출제되는 계산 문제 중 시공 관련된 문제를 정리해보려고 합니다. 문제는 2013~2022년의 10개년 문제이며, 출제된 횟수를 특수문자 ★ 로 표현하되,
engineer-ing.tistory.com
[신재생에너지발전설비기사(태양광) 실기 계산 02] 태양광발전의 발전량, 발전원가, 판매수익, 경제성검토 계산
[신재생에너지발전설비기사(태양광) 실기 계산 02] 태양광발전의 발전량, 발전원가, 판매수익, 경
신재생에너지발전설비기사(태양광) 실기에서 출제되는 계산 문제 중 태양광발전의 발전량, 발전원가, 판매수익, 경제성 검토 등 관련된 문제를 정리해보려고 합니다. 문제는 2013~2022년의 10개년
engineer-ing.tistory.com
[신재생에너지발전설비기사(태양광) 실기 계산 03] 태양전지, 인버터, 남중고도, 단위변환 계산문제
[신재생에너지발전설비기사(태양광) 실기 계산 03] 태양전지, 인버터, 남중고도, 단위변환 계산문
신재생에너지발전설비기사(태양광) 실기에서 출제되는 계산 문제 중 태양전기, 인버터, 남중고도, 단위변환 등 관련된 문제를 정리해보려고 합니다. 문제는 2013~2022년의 10개년 문제이며, 출제
engineer-ing.tistory.com
[신재생에너지발전설비기사(태양광) 실기 계산 04] 태양광 직병렬 계산 문제
[신재생에너지발전설비기사(태양광) 실기 계산 04] 태양광 직병렬 계산 문제
신재생에너지발전설비기사(태양광) 실기에서 출제되는 계산 문제 중 시공 관련된 문제를 정리해보려고 합니다. 문제는 2013~2022년의 10개년 문제이며, 출제된 횟수를 특수문자 ★ 로 표현하되,
engineer-ing.tistory.com
[신재생에너지발전설비기사(태양광) 실기 05] 어레이 이격거리 계산 문제
[신재생에너지발전설비기사(태양광) 실기 05] 어레이 이격거리 계산 문제
신재생에너지발전설비기사(태양광) 실기에서 출제되는 계산 문제 중 어레이 이격거리 관련된 문제를 정리해보려고 합니다. 문제는 2013~2022년의 10개년 문제이며, 출제된 횟수를 특수문자 ★ 로
engineer-ing.tistory.com
'에너지 > 신재생에너지발전설비기사(태양광) 실기' 카테고리의 다른 글
[신재생에너지발전설비기사(태양광) 실기 05] 어레이 이격거리 계산 문제 (0) | 2024.12.22 |
---|---|
[신재생에너지발전설비기사(태양광) 실기 계산 04] 태양광 직병렬 계산 문제 (0) | 2024.12.19 |
[신재생에너지발전설비기사(태양광) 실기 계산 03] 태양전지, 인버터, 남중고도, 단위변환 계산문제 (0) | 2024.12.13 |
[신재생에너지발전설비기사(태양광) 실기 계산 02] 태양광발전의 발전량, 발전원가, 판매수익, 경제성검토 계산 (0) | 2024.12.13 |
[신재생에너지발전설비기사(태양광) 실기 계산 01] 시공 관련 계산 문제 (4) | 2024.11.28 |