전기/전기기사 실기

[전기기사 실기 계산 12] 저압의 전압강하 및 불평형률 계산 문제

엔지니어관리자 2025. 1. 12. 21:46

전기기사 실기에서 출제되는 계산 문제 중 저압의 전압강하 및 불평형률 관련된 문제를 정리해보려고 합니다.

 

문제는 2008~2022년의 15개년 문제이며, 출제된 횟수를 특수문자 ★ 로 표현하되, 최대 3번까지 적용합니다

 

 

목차

     

    기본수식

    3상 전압강하

     

    단상 2선식 회로에서의 전압강하

     

    3 3선식 또는 3 4선식에서의 설비 불평형률

     

     

     

    계산 문제

    ★☆☆

    정격 전류가 320[A]이고, 역률 0.853상 유도 전동기가 있다. 다음 제시한 자료에 의하여 전압 강하를 구하시오.

     

     

    ★☆☆

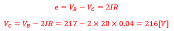
    그림과 같은 단상 2선식 회로에서 공급점 A의 전압이 220[V]이고, A-B 사이의 1선마다의 저항이 0.02[Ω], B-C 사이의 1선마다의 저항이 0.04[Ω]이라 하면, 40[A]를 소비하는 B점의 전압 VB20[A]를 소비하는 C점의 전압 VC를 구하시오. (, 부하의 역률은 1이다.)

     

     

    (1)   B점의 전압 VB

    (2)   C점의 전압 VC

     

    참고
    단상 2선식 회로에서의 전압강하
    cosθ=1, X와 sinθ은 주어지지 않았으므로 0이므로, 2IR이 된다.

     


    KCL에 의해 전류 합은 60[A]

     

     

    ★★☆

    고압 수전의 수용가에서 34선식 교류 380[V], 50[kVA] 부하가 변전실 배전반에서 270[m] 떨어져 설치되어 있다. 허용 전압 강하는 얼마이며 이 경우 배전용 케이블의 최소 굵기는 얼마로 하여야 하는지 계산하시오. (, 전기 사용 장소 내 시설한 변압기이며, 케이블은 IEC 규격에 의한다.)

    케이블 규격[mm2]

    6 10 16 25 35 50 70

     

     

    (1)   허용 전압강하를 계산하시오.

    아래 A-저압으로 수전하는 경우에서 기타 부분은 5%로 명시되어 있다. 또한 100[m] 초과시 전압강하는 미터당 0.005[%]를 증가할 수 있으나, 증가분은 0.5[%]를 넘지 않아야 한다.

     

    (2)   케이블의 굵기를 선정하시오.

    답 : 35[mm2]

     

    참고
    수용가설비의 전압강하

    설비의 유형 조명[%] 기타[%]
    A-저압으로 수전하는 경우 3 5
    B-고압 이상으로 수전하는 경우* 6 8
    *) 가능한 한 최종회로 내의 전압강하가 A유형의 값을 넘지 않도록 하는 것이 바람직하다. 사용자의 배선설비가 100[m]를 넘는 부분의 전압강하는 미터당 0.005[%] 증가할 수 있으나 이러한 증가분은 0.5[%]를 넘지 않아야 한다.


    - 가능한 한 최종회로 내의 전압강하가 A 유형의 값을 넘지 않도록 하는 것이 바람직하므로 기타 부하 5[%]를 적용한다.
    - 사용자의 배선설비가 100[m]를 넘는 부분(270-100=170[m])에 대해 미터당 0.005[%] 증가분은 170x0.005=0.85[%]이다. 다만 이러한 증가분이 0.5[%]를 넘어서는 안되므로 0.5[%]를 적용한다. 즉, 최종적인 허용 전압 강하는 5+0.5=5.5[%]


     

     

    ★☆☆

    20개의 가로등이 500[m] 거리에 균등하게 배치되어 있다. 한 등의 소요 전류 4[A], 전선(동선)의 단면적 35[mm2], 도전율 97[%]라면 한쪽 끝에서 단상 220[V]로 급전할 때 최종 전등에 가해지는 전압[V]은 얼마인지 계산하시오.

     

    말단 집중 부하일 경우의 전압 강하

     

    문제에 제시한 균등 부하는 말단 집중 부하에 비하여 전압 강하가 1/2로 발생하므로

     

    참고

     

     

     

    ★★☆

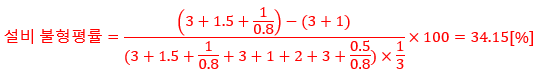
    그림과 같이 3 3선식 220[V]의 수전 회로가 있다. H는 전열 부하이고, M은 역률 0.8의 전동기이다. 이 그림을 보고 다음 각 물음에 답하시오.

     

     

    (1)   저압 수전의 3 3선식 선로인 경우에 설비 불평형률은 몇 [%] 이하로 하여야 하는가?

    30[%]

     

    (2)   그림의 설비 불평형률은 몇 [%]인가? (, P, Q점은 단선이 아닌 것으로 계산한다.)

     

    (3)   P, Q점에서 단선이 되었다면 설비 불평형률은 몇 [%]가 되겠는가?

     

    참고
    3상 3선식 또는 3상 4선식에서의 설비 불평형률


    단선 사고 시 회로도


     

     

     

    ★☆☆

    다음 그림과 같은 3 3선식 380[V] 수전의 경우 설비 불평형률[%]은 얼마인가?

     

    참고
    저압, 고압 및 특고압 수전의 3상 3선식 또는 3상 4선식에서의 설비 불평형률

    이때 3상 3선식 및 3상 4선식의 설비 불평형률은 30[%] 이하이어야 한다.
    (단, 다음에 해당하는 경우에는 예외로 한다.)

               저압 수전에서 전용 변압기 등으로 수전하는 경우
               고압 및 특고압 수전에서 100[kVA] 이하의 단상 부하의 경우
               고압 및 특고압 수전에서 단상 부하 용량의 최대와 최소의 차가 100[kVA] 이하인 경우
               특고압 수전에서 100[kVA] 이하의 단상 변압기 2대의 역V결선하는 경우

     

     

    ★☆☆

    그림과 같은 3 3선식 배전선로에서 불평형률을 구하고, 양호하게 되었는지의 여부를 판단하시오.

     

    30[%]를 초과하였으므로 양호하지 않다.

     

     

    ★★★

    불평형 부하의 제한에 관련된 다음 물음에 답하시오.

    (1)   저압, 고압 및 특고압 수전의 3 3선식 또는 3 4선식에서 불평형 부하의 한도는 단상 접속 부하로 계산하여 설비 불평형률을 몇 [%] 이하로 하는 것을 원칙으로 하는가?

    30[%] 이하

    (2)   “(1)’항 문제의 제한 원칙에 따르지 않아도 되는 경우를 2가지만 쓰시오.

    저압 수전에서 전용 변압기 등으로 수전하는 경우

    고압 및 특고압 수전에서 100[kVA] 이하의 단상 부하인 경우

    (3)   부하 설비가 그림과 같을 때 설비 불평형률을 몇 [%]인가?(, H는 전열기 부하이고, M은 전동기 부하이다.)


    참고
    저압, 고압 및 특고압 수전의 3상 3선식 또는 3상 4선식에서의 설비 불평형률

    이때 3상 3선식 및 3상 4선식의 설비 불평형률은 30[%] 이하이어야 한다.
    (단, 다음에 해당하는 경우에는 예외로 한다.)

               저압 수전에서 전용 변압기 등으로 수전하는 경우
               고압 및 특고압 수전에서 100[kVA] 이하의 단상 부하의 경우
               고압 및 특고압 수전에서 단상 부하 용량의 최대와 최소의 차가 100[kVA] 이하인 경우
               특고압 수전에서 100[kVA] 이하의 단상 변압기 2대의 역V결선하는 경우